2025年1加1轻巧夺冠完美期末八年级数学上册北师大版辽宁专版
注:目前有些书本章节名称可能整理的还不是很完善,但都是按照顺序排列的,请同学们按照顺序仔细查找。练习册 2025年1加1轻巧夺冠完美期末八年级数学上册北师大版辽宁专版 答案主要是用来给同学们做完题方便对答案用的,请勿直接抄袭。
1. (沈阳沈河期末)下列各数中,是无理数的是(
A.$\frac{22}{7}$
B.$\sqrt[3]{8}$
C.$\sqrt{12}$
D.$3.1415926$
C
)A.$\frac{22}{7}$
B.$\sqrt[3]{8}$
C.$\sqrt{12}$
D.$3.1415926$
答案:
1.C
2. (沈阳沈河期末)下列四组数中,是勾股数的是(
A.$0.3,0.4,0.5$
B.$30,40,50$
C.$6,7,8$
D.$3^{2},4^{2},5^{2}$
B
)A.$0.3,0.4,0.5$
B.$30,40,50$
C.$6,7,8$
D.$3^{2},4^{2},5^{2}$
答案:
2.B
3. (沈阳新民期末)已知点 $A$ 的坐标为 $(1,2)$, 直线 $A B / / x$ 轴. 若 $A B=5$, 则点 $B$ 的坐标为(
A.$(1,7)$
B.$(6,2)$
C.$(1,7)$或 $(1,-3)$
D.$(6,2)$或 $(-4,2)$
D
)A.$(1,7)$
B.$(6,2)$
C.$(1,7)$或 $(1,-3)$
D.$(6,2)$或 $(-4,2)$
答案:
3.D
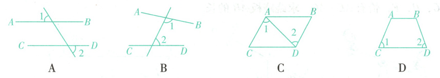
4. (沈阳辽中期末)在下列图形中,由 $\angle 1=\angle 2$ 能判定 $A B / / C D$ 的是(

A
)
答案:
4.A
5. (沈阳辽中期末)如图,在平面直角坐标系 $x O y$ 中,正比例函数 $y=-x$ 的图象大致是(

B
)
答案:
5.B
6. 2024 年巴黎奥运会奖牌榜前 8 名的金牌数依次为 $40,40,20,18,16,16,14,12$, 这组数据的下四分位数为(
A.$13$
B.$13.5$
C.$15$
D.$15.5$
C
)A.$13$
B.$13.5$
C.$15$
D.$15.5$
答案:
6.C
查看更多完整答案,请扫码查看