第99页
- 第1页
- 第2页
- 第3页
- 第4页
- 第5页
- 第6页
- 第7页
- 第8页
- 第9页
- 第10页
- 第11页
- 第12页
- 第13页
- 第14页
- 第15页
- 第16页
- 第17页
- 第18页
- 第19页
- 第20页
- 第21页
- 第22页
- 第23页
- 第24页
- 第25页
- 第26页
- 第27页
- 第28页
- 第29页
- 第30页
- 第31页
- 第32页
- 第33页
- 第34页
- 第35页
- 第36页
- 第37页
- 第38页
- 第39页
- 第40页
- 第41页
- 第42页
- 第43页
- 第44页
- 第45页
- 第46页
- 第47页
- 第48页
- 第49页
- 第50页
- 第51页
- 第52页
- 第53页
- 第54页
- 第55页
- 第56页
- 第57页
- 第58页
- 第59页
- 第60页
- 第61页
- 第62页
- 第63页
- 第64页
- 第65页
- 第66页
- 第67页
- 第68页
- 第69页
- 第70页
- 第71页
- 第72页
- 第73页
- 第74页
- 第75页
- 第76页
- 第77页
- 第78页
- 第79页
- 第80页
- 第81页
- 第82页
- 第83页
- 第84页
- 第85页
- 第86页
- 第87页
- 第88页
- 第89页
- 第90页
- 第91页
- 第92页
- 第93页
- 第94页
- 第95页
- 第96页
- 第97页
- 第98页
- 第99页
- 第100页
- 第101页
- 第102页
- 第103页
- 第104页
- 第105页
- 第106页
- 第107页
- 第108页
- 第109页
- 第110页
- 第111页
- 第112页
- 第113页
- 第114页
- 第115页
- 第116页
- 第117页
- 第118页
- 第119页
- 第120页
- 第121页
- 第122页
- 第123页
- 第124页
- 第125页
- 第126页
- 第127页
- 第128页
- 第129页
- 第130页
- 第131页
- 第132页
- 第133页
- 第134页
- 第135页
- 第136页
- 第137页
- 第138页
- 第139页
- 第140页
- 第141页
- 第142页
- 第143页
- 第144页
- 第145页
- 第146页
- 第147页
- 第148页
- 第149页
- 第150页
- 第151页
- 第152页
- 第153页
- 第154页
- 第155页
- 第156页
- 第157页
- 第158页
- 第159页
- 第160页
- 第161页
- 第162页
- 第163页
- 第164页
- 第165页
- 第166页
- 第167页
- 第168页
- 第169页
- 第170页
- 第171页
- 第172页
- 第173页
- 第174页
- 第175页
- 第176页
知识点2 探究电压一定时电流与电阻的关系
2. 在探究电流与电阻的关系的实验中,下列说法(
①实验中采用的科学研究方法主要是控制变量法
②滑动变阻器的作用是在多次测量的过程中,保持导体两端的电压不变
③换用不同的定值电阻得到多组数据是为了减小实验误差
④经过测量得出的结论是电压一定时,导体的电阻与通过的电流成反比
A.只有①②正确
B.只有①②③正确
C.只有②③④正确
D.只有①②④正确
2. 在探究电流与电阻的关系的实验中,下列说法(
A
)①实验中采用的科学研究方法主要是控制变量法
②滑动变阻器的作用是在多次测量的过程中,保持导体两端的电压不变
③换用不同的定值电阻得到多组数据是为了减小实验误差
④经过测量得出的结论是电压一定时,导体的电阻与通过的电流成反比
A.只有①②正确
B.只有①②③正确
C.只有②③④正确
D.只有①②④正确
答案:
A
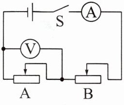
3. 小明准备利用如图所示的电路进行探究实验,以下能完成探究并得出定量关系的是(

①保持A滑片位置不变,移动B滑片,探究电流与电压的关系
②保持B滑片位置不变,移动A滑片,探究电流与电阻的关系
③改变A滑片位置后,移动B滑片保持电压表示数不变,探究电流与电阻的关系
A.①
B.②
C.①②
D.①③
A
)①保持A滑片位置不变,移动B滑片,探究电流与电压的关系
②保持B滑片位置不变,移动A滑片,探究电流与电阻的关系
③改变A滑片位置后,移动B滑片保持电压表示数不变,探究电流与电阻的关系
A.①
B.②
C.①②
D.①③
答案:
A
4. 探究电流与电阻的定量关系的电路如图所示,在A、B间更换不同阻值的定值电阻后,应调节滑动变阻器的滑片,控制

定值电阻两端的电压
不变。更换不同的定值电阻进行多次实验,这是为了使结论具有普遍性
。
答案:
定值电阻两端的电压 使结论具有普遍性
查看更多完整答案,请扫码查看