第155页
- 第1页
- 第2页
- 第3页
- 第4页
- 第5页
- 第6页
- 第7页
- 第8页
- 第9页
- 第10页
- 第11页
- 第12页
- 第13页
- 第14页
- 第15页
- 第16页
- 第17页
- 第18页
- 第19页
- 第20页
- 第21页
- 第22页
- 第23页
- 第24页
- 第25页
- 第26页
- 第27页
- 第28页
- 第29页
- 第30页
- 第31页
- 第32页
- 第33页
- 第34页
- 第35页
- 第36页
- 第37页
- 第38页
- 第39页
- 第40页
- 第41页
- 第42页
- 第43页
- 第44页
- 第45页
- 第46页
- 第47页
- 第48页
- 第49页
- 第50页
- 第51页
- 第52页
- 第53页
- 第54页
- 第55页
- 第56页
- 第57页
- 第58页
- 第59页
- 第60页
- 第61页
- 第62页
- 第63页
- 第64页
- 第65页
- 第66页
- 第67页
- 第68页
- 第69页
- 第70页
- 第71页
- 第72页
- 第73页
- 第74页
- 第75页
- 第76页
- 第77页
- 第78页
- 第79页
- 第80页
- 第81页
- 第82页
- 第83页
- 第84页
- 第85页
- 第86页
- 第87页
- 第88页
- 第89页
- 第90页
- 第91页
- 第92页
- 第93页
- 第94页
- 第95页
- 第96页
- 第97页
- 第98页
- 第99页
- 第100页
- 第101页
- 第102页
- 第103页
- 第104页
- 第105页
- 第106页
- 第107页
- 第108页
- 第109页
- 第110页
- 第111页
- 第112页
- 第113页
- 第114页
- 第115页
- 第116页
- 第117页
- 第118页
- 第119页
- 第120页
- 第121页
- 第122页
- 第123页
- 第124页
- 第125页
- 第126页
- 第127页
- 第128页
- 第129页
- 第130页
- 第131页
- 第132页
- 第133页
- 第134页
- 第135页
- 第136页
- 第137页
- 第138页
- 第139页
- 第140页
- 第141页
- 第142页
- 第143页
- 第144页
- 第145页
- 第146页
- 第147页
- 第148页
- 第149页
- 第150页
- 第151页
- 第152页
- 第153页
- 第154页
- 第155页
- 第156页
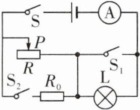
11. 如图所示电路,电源电压保持不变,定值电阻 $R_{0}$ 的阻值为 $10\ \Omega$,小灯泡 $L$ 标有“$6\ V\ \ 3.6\ W$”(电阻不随温度而变化),滑动变阻器 $R$ 标有“$30\ \Omega\ \ 1\ A$”,电流表的量程为 $0\sim3\ A$。当 $S$ 闭合,$S_{1}$、$S_{2}$ 断开,滑片 $P$ 移到距 $R$ 最右端 $\frac{1}{3}$ 处时,小灯泡正常发光。求:
(1)小灯泡的电阻 $R_{L}$;
(2)通电 $10\ s$ 电路消耗的电能;
(3)在保证电路安全的前提下,任意调整开关 $S$、$S_{1}$、$S_{2}$ 的开闭状态,并移动变阻器的滑片 $P$,电路消耗总功率的最小值与最大值之比。

(1)小灯泡的电阻 $R_{L}$;
(2)通电 $10\ s$ 电路消耗的电能;
(3)在保证电路安全的前提下,任意调整开关 $S$、$S_{1}$、$S_{2}$ 的开闭状态,并移动变阻器的滑片 $P$,电路消耗总功率的最小值与最大值之比。
答案:
11.解:
(1)小灯泡正常发光时的电阻:
$R_L=\frac{U_额^2}{P_额}=\frac{(6V)^2}{3.6V}=10Ω。$
(2)当S闭合,S₁、S₂断开,R和L串联,滑片P处于R的$\frac{1}{3}$处,$R=\frac{1}{3}×30Ω=10Ω;$
滑动变阻器的阻值与小灯泡的电阻相同,根据串联分压的特点,故U_L=U_R=6V,则电源电压:U_总=6V+6V=12V;
串联电路的电流:$I=\frac{U_L}{R_L}=\frac{6V}{10Ω}=0.6A;$
则10s电路消耗的电能:
W=UIt=12V×0.6A×10s=72J。
(3)要保证电路安全,分析电路可得,当闭合开关S、S₂和S₁,且通过滑动变阻器的电流为1A时,干路电流最大;
因并联电路中各支路两端电压相等,
所以此时通过R₀的电流:
$I₀=\frac{U}{R₀}=\frac{12V}{10Ω}=1.2A;$
因并联电路中干路电流等于各支路电流之和,所以干路的最大电流:
I_max=1A+1.2A=2.2A,
电路消耗的最大功率:
P_max=UI_max=12V×2.2A=26.4W;
S闭合,S₁、S₂都断开,R与L串联,当灯泡与滑动变阻器的最大阻值串联时,电路电流最小,因串联电路的总电阻等于各分电阻之和,所以电路最小电流:
$I_min=\frac{U}{R_总}=\frac{12V}{10Ω+30Ω}=0.3A,$
电路消耗的最小功率:
P_min=UI_min=12V×0.3A=3.6W;
则电路消耗总功率的最小值与最大值之比P_min:P_max=3.6W:26.4W=3:22。
答:
(1)小灯泡的电阻R_L为10Ω;
(2)通电10s电路消耗的电能为72J;
(3)电路消耗总功率的最小值与最大值之比为3:22。
(1)小灯泡正常发光时的电阻:
$R_L=\frac{U_额^2}{P_额}=\frac{(6V)^2}{3.6V}=10Ω。$
(2)当S闭合,S₁、S₂断开,R和L串联,滑片P处于R的$\frac{1}{3}$处,$R=\frac{1}{3}×30Ω=10Ω;$
滑动变阻器的阻值与小灯泡的电阻相同,根据串联分压的特点,故U_L=U_R=6V,则电源电压:U_总=6V+6V=12V;
串联电路的电流:$I=\frac{U_L}{R_L}=\frac{6V}{10Ω}=0.6A;$
则10s电路消耗的电能:
W=UIt=12V×0.6A×10s=72J。
(3)要保证电路安全,分析电路可得,当闭合开关S、S₂和S₁,且通过滑动变阻器的电流为1A时,干路电流最大;
因并联电路中各支路两端电压相等,
所以此时通过R₀的电流:
$I₀=\frac{U}{R₀}=\frac{12V}{10Ω}=1.2A;$
因并联电路中干路电流等于各支路电流之和,所以干路的最大电流:
I_max=1A+1.2A=2.2A,
电路消耗的最大功率:
P_max=UI_max=12V×2.2A=26.4W;
S闭合,S₁、S₂都断开,R与L串联,当灯泡与滑动变阻器的最大阻值串联时,电路电流最小,因串联电路的总电阻等于各分电阻之和,所以电路最小电流:
$I_min=\frac{U}{R_总}=\frac{12V}{10Ω+30Ω}=0.3A,$
电路消耗的最小功率:
P_min=UI_min=12V×0.3A=3.6W;
则电路消耗总功率的最小值与最大值之比P_min:P_max=3.6W:26.4W=3:22。
答:
(1)小灯泡的电阻R_L为10Ω;
(2)通电10s电路消耗的电能为72J;
(3)电路消耗总功率的最小值与最大值之比为3:22。
查看更多完整答案,请扫码查看