第14页
- 第1页
- 第2页
- 第3页
- 第4页
- 第5页
- 第6页
- 第7页
- 第8页
- 第9页
- 第10页
- 第11页
- 第12页
- 第13页
- 第14页
- 第15页
- 第16页
- 第17页
- 第18页
- 第19页
- 第20页
- 第21页
- 第22页
- 第23页
- 第24页
- 第25页
- 第26页
- 第27页
- 第28页
- 第29页
- 第30页
- 第31页
- 第32页
- 第33页
- 第34页
- 第35页
- 第36页
- 第37页
- 第38页
- 第39页
- 第40页
- 第41页
- 第42页
- 第43页
- 第44页
- 第45页
- 第46页
- 第47页
- 第48页
- 第49页
- 第50页
- 第51页
- 第52页
- 第53页
- 第54页
- 第55页
- 第56页
- 第57页
- 第58页
- 第59页
- 第60页
- 第61页
- 第62页
- 第63页
- 第64页
- 第65页
- 第66页
- 第67页
- 第68页
- 第69页
- 第70页
- 第71页
- 第72页
- 第73页
- 第74页
- 第75页
- 第76页
- 第77页
- 第78页
- 第79页
- 第80页
- 第81页
- 第82页
- 第83页
- 第84页
- 第85页
- 第86页
- 第87页
- 第88页
- 第89页
- 第90页
- 第91页
- 第92页
- 第93页
- 第94页
- 第95页
- 第96页
- 第97页
- 第98页
- 第99页
- 第100页
- 第101页
- 第102页
- 第103页
- 第104页
- 第105页
- 第106页
- 第107页
- 第108页
- 第109页
- 第110页
- 第111页
- 第112页
- 第113页
- 第114页
- 第115页
- 第116页
- 第117页
- 第118页
- 第119页
- 第120页
- 第121页
- 第122页
- 第123页
- 第124页
- 第125页
- 第126页
- 第127页
- 第128页
- 第129页
- 第130页
- 第131页
- 第132页
- 第133页
- 第134页
- 第135页
- 第136页
- 第137页
- 第138页
- 第139页
- 第140页
- 第141页
- 第142页
- 第143页
- 第144页
- 第145页
- 第146页
- 第147页
- 第148页
- 第149页
- 第150页
- 第151页
- 第152页
- 第153页
- 第154页
- 第155页
- 第156页
- 第157页
- 第158页
- 第159页
- 第160页
- 第161页
- 第162页
- 第163页
- 第164页
- 第165页
- 第166页
- 第167页
- 第168页
- 第169页
- 第170页
- 第171页
- 第172页
知识点2 数轴上的点与有理数的关系
3. 如图,将一刻度尺放在数轴上(数轴的单位长度是1cm),刻度尺上表示“0cm”“8cm”的刻度分别对应数轴上表示$-3和x$的点,那么$x= $( )

A.5
B.6
C.7
D.8
3. 如图,将一刻度尺放在数轴上(数轴的单位长度是1cm),刻度尺上表示“0cm”“8cm”的刻度分别对应数轴上表示$-3和x$的点,那么$x= $( )
A.5
B.6
C.7
D.8
答案:
A
4. 如图,在数轴上有$A$,$B$,$C$,$D$四个点,请写出点$A$,$B$,$C$,$D$分别表示什么数。

答案:
点A表示的数为6,点B表示的数为-4,点C表示的数为4,点D表示的数为-1.
5. 画出数轴,并在数轴上表示下列各数:$+5$,$-3.5$,$\frac{1}{2}$,$-1\frac{1}{2}$,$-4$,$0$,$-\frac{2}{3}$。
答案:
如图所示.
![img alt=5]
![img alt=5]
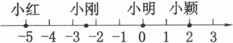
6. 小红、小刚、小明、小颖四人自西向东依次站在同一条直线上,如果把直线看作数轴,四人所在的位置如图所示,则下列描述不正确的是( )

A.数轴是以小明所在的位置为原点
B.数轴采用向东为正方向
C.小刚所在的位置对应的数有可能是$-\frac{5}{3}$
D.小颖和小红相隔7个单位长度
A.数轴是以小明所在的位置为原点
B.数轴采用向东为正方向
C.小刚所在的位置对应的数有可能是$-\frac{5}{3}$
D.小颖和小红相隔7个单位长度
答案:
C
7. 数轴上与表示$-1\frac{1}{5}$的点最接近的点所表示的数是( )
A.$-3$
B.$-4$
C.$-1$
D.$-2$
A.$-3$
B.$-4$
C.$-1$
D.$-2$
答案:
C
8. 有理数$a$,$b$在数轴上对应的位置如图所示,则( )

A.$a + b < 0$
B.$b - a < 0$
C.$a - b > 0$
D.$ab > 0$
A.$a + b < 0$
B.$b - a < 0$
C.$a - b > 0$
D.$ab > 0$
答案:
A
9. 如图,数轴上有六个点,且$AB = BC = CD = DE = EF$,则与点$C$所表示的数最接近的整数是______。

答案:
1
10. 在数轴上,表示数$-3.5与2.5$的两点之间整数点的个数是( )
A.5
B.6
C.7
D.8
A.5
B.6
C.7
D.8
答案:
B
11. 下列说法:①数轴上的点只能表示整数;②数轴是一条线段;③数轴上的一个点只能表示一个数;④数轴上找不到既不表示正数,又不表示负数的点;⑤数轴上的点所表示的数都是有理数。其中正确的有( )
A.1个
B.2个
C.3个
D.4个
A.1个
B.2个
C.3个
D.4个
答案:
A
12. 数轴上表示整数的点称为整点,某数轴的单位长度是1cm,若在这条数轴上随意画出一条长为2024cm的线段$AB$,则线段$AB$盖住的整点的个数是( )
A.2023
B.2024
C.2023或2024
D.2024或2025
A.2023
B.2024
C.2023或2024
D.2024或2025
答案:
D
查看更多完整答案,请扫码查看