第42页
- 第1页
- 第2页
- 第3页
- 第4页
- 第5页
- 第6页
- 第7页
- 第8页
- 第9页
- 第10页
- 第11页
- 第12页
- 第13页
- 第14页
- 第15页
- 第16页
- 第17页
- 第18页
- 第19页
- 第20页
- 第21页
- 第22页
- 第23页
- 第24页
- 第25页
- 第26页
- 第27页
- 第28页
- 第29页
- 第30页
- 第31页
- 第32页
- 第33页
- 第34页
- 第35页
- 第36页
- 第37页
- 第38页
- 第39页
- 第40页
- 第41页
- 第42页
- 第43页
- 第44页
- 第45页
- 第46页
- 第47页
- 第48页
- 第49页
- 第50页
- 第51页
- 第52页
- 第53页
- 第54页
- 第55页
- 第56页
- 第57页
- 第58页
- 第59页
- 第60页
- 第61页
- 第62页
- 第63页
- 第64页
- 第65页
- 第66页
- 第67页
- 第68页
- 第69页
- 第70页
- 第71页
- 第72页
- 第73页
|被除数|264|26.4|2.64|0.264|
|除数|8|8|8|8|
|商|33|
|除数|8|8|8|8|
|商|33|
3.3
|0.33
|0.033
|
答案:
3.3 0.33 0.033
2. 用竖式计算,带*的要验算。
7.5÷6 *59.4÷3
66.48÷24 *19.6÷14
7.5÷6 *59.4÷3
66.48÷24 *19.6÷14
答案:
1.25 19.8 2.77 1.4 竖式及验算略
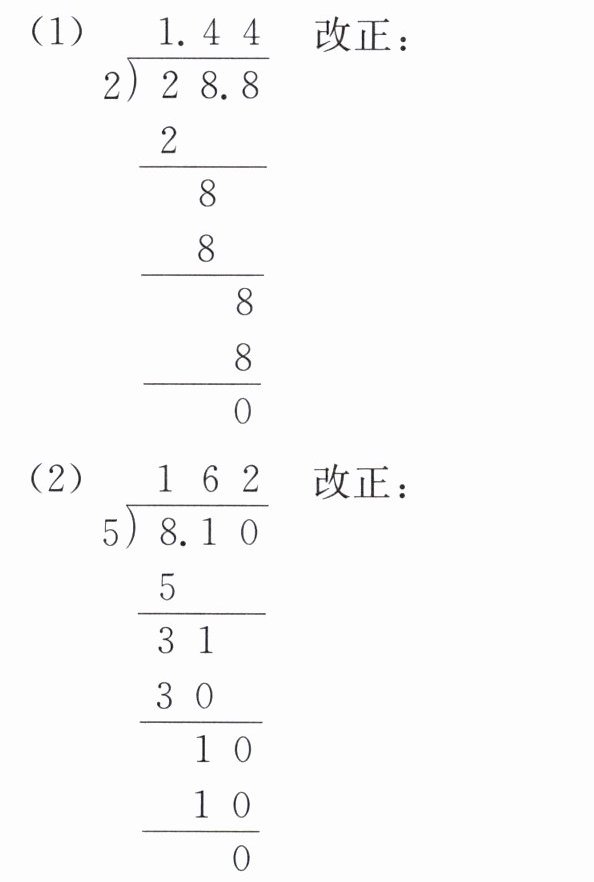
3. 先找出错在哪里,再改正。

答案:
(1)商的小数点点错位置 14.4 竖式略
(2)商忘记点小数点 1.62 竖式略
(2)商忘记点小数点 1.62 竖式略
|商品|单价/(元/支)|数量/支|总价/元|
|铅笔|
|钢笔|
|毛笔|
|铅笔|
0.55
|5|2.75||钢笔|
8.5
|6|51||毛笔|
12.6
|4|50.4|
答案:
0.55 8.5 12.6
5. 选一选。
(1)(淮安清江浦区)下面的竖式中,箭头所指的“300”表示(

A.300个一
B.300个0.1
C.300个0.01
D.300个0.001
(1)(淮安清江浦区)下面的竖式中,箭头所指的“300”表示(
B
)。A.300个一
B.300个0.1
C.300个0.01
D.300个0.001
答案:
(1)B
(1)B
(2)(生活应用)一根绸带长14.4米,对折3次后,每段长(
A.4.8
B.2.4
C.1.8
D.1.6
C
)米。A.4.8
B.2.4
C.1.8
D.1.6
答案:
(2)C 解析:对折3次,相当于将这根绸带平均分成8段。求每段长多少米,用除法计算。
(2)C 解析:对折3次,相当于将这根绸带平均分成8段。求每段长多少米,用除法计算。
6.(南京建邺区)佳佳带73.5元去买文具,下面是佳佳与营业员的对话。
佳佳:“阿姨,我想买5本单价为6.3元/本的笔记本。”
营业员:“好的,还有什么需要吗?”
佳佳:“剩下的钱全买圆珠笔吧。”
营业员:“正好可以买24支。”
根据两人的对话,求圆珠笔每支多少元。
佳佳:“阿姨,我想买5本单价为6.3元/本的笔记本。”
营业员:“好的,还有什么需要吗?”
佳佳:“剩下的钱全买圆珠笔吧。”
营业员:“正好可以买24支。”
根据两人的对话,求圆珠笔每支多少元。
答案:
5×6.3=31.5(元) 73.5-31.5=42(元) 42÷24=1.75(元) 解析:根据题意可知,圆珠笔的总价钱=佳佳带的钱数—笔记本的总价钱。笔记本的总价钱为5×6.3=31.5(元),则圆珠笔的总价钱为73.5-31.5=42(元)。根据圆珠笔的单价=圆珠笔的总价钱÷圆珠笔的数量,即可求出圆珠笔每支多少元。
7.(思维过程)一道除法算式中,被除数、除数、商的和是25.4,且被除数是除数的11倍。
答案:
25.4-11=14.4 11+1=12(份) 14.4÷12=1.2 解析:由题意可知,被除数÷除数=11,因此被除数+除数=25.4-11=14.4。将除数看作1份,则被除数就是这样的11份,两者一共是11+1=12(份),所以除数是14.4÷12=1.2。
查看更多完整答案,请扫码查看