2025年暑假Happy假日七年级理综
注:目前有些书本章节名称可能整理的还不是很完善,但都是按照顺序排列的,请同学们按照顺序仔细查找。练习册 2025年暑假Happy假日七年级理综 答案主要是用来给同学们做完题方便对答案用的,请勿直接抄袭。
第13页
- 第1页
- 第2页
- 第3页
- 第4页
- 第5页
- 第6页
- 第7页
- 第8页
- 第9页
- 第10页
- 第11页
- 第12页
- 第13页
- 第14页
- 第15页
- 第16页
- 第17页
- 第18页
- 第19页
- 第20页
- 第21页
- 第22页
- 第23页
- 第24页
- 第25页
- 第26页
- 第27页
- 第28页
- 第29页
- 第30页
- 第31页
- 第32页
- 第33页
- 第34页
- 第35页
- 第36页
- 第37页
- 第38页
- 第39页
- 第40页
- 第41页
- 第42页
- 第43页
- 第44页
- 第45页
- 第46页
- 第47页
- 第48页
- 第49页
- 第50页
- 第51页
- 第52页
- 第53页
- 第54页
- 第55页
- 第56页
- 第57页
- 第58页
- 第59页
- 第60页
- 第61页
- 第62页
- 第63页
- 第64页
- 第65页
- 第66页
- 第67页
- 第68页
- 第69页
- 第70页
- 第71页
- 第72页
- 第73页
- 第74页
- 第75页
- 第76页
- 第77页
- 第78页
- 第79页
- 第80页
- 第81页
- 第82页
- 第83页
- 第84页
- 第85页
- 第86页
- 第87页
- 第88页
- 第89页
- 第90页
- 第91页
- 第92页
- 第93页
- 第94页
- 第95页
- 第96页
- 第97页
- 第98页
- 第99页
- 第100页
- 第101页
- 第102页
- 第103页
- 第104页
- 第105页
- 第106页
- 第107页
- 第108页
- 第109页
- 第110页
- 第111页
- 第112页
判断下列说法是否正确,正确的在括号内画“√”,错误的画“×”。
1. 两直线平行,同位角相等. (
2. 两直线平行,内错角相等. (
3. 两直线平行,同旁内角相等. (
4. 两条直线被第三条直线所截,内错角相等. (
如右图,$AB// DC$,则

5. $∠1=∠2$. (
6. $∠3=∠4$. (
7. $∠D+∠DAB=180^{\circ }$. (
8. $∠B+∠BCD=180^{\circ }$. (
1. 两直线平行,同位角相等. (
√
)2. 两直线平行,内错角相等. (
√
)3. 两直线平行,同旁内角相等. (
×
)4. 两条直线被第三条直线所截,内错角相等. (
×
)如右图,$AB// DC$,则
5. $∠1=∠2$. (
√
)6. $∠3=∠4$. (
√
)7. $∠D+∠DAB=180^{\circ }$. (
√
)8. $∠B+∠BCD=180^{\circ }$. (
√
)
答案:
1. √
2. √
3. ×
4. ×
5. √
6. √
7. √
8. √
2. √
3. ×
4. ×
5. √
6. √
7. √
8. √
1. 如图,$OC$是$∠AOB$的角平分线,$l// OB$,若$∠1=52^{\circ }$,则$∠2$的度数为 (

A. $52^{\circ }$
B. $54^{\circ }$
C. $64^{\circ }$
D. $69^{\circ }$
C
)A. $52^{\circ }$
B. $54^{\circ }$
C. $64^{\circ }$
D. $69^{\circ }$
答案:
C
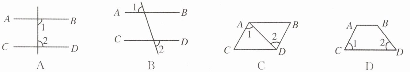
2. 下列图形中,由$AB// CD$,能得到$∠1=∠2$的是 (

B
)
答案:
B
查看更多完整答案,请扫码查看