2026年薪火金卷高考仿真模拟卷化学
注:目前有些书本章节名称可能整理的还不是很完善,但都是按照顺序排列的,请同学们按照顺序仔细查找。练习册 2026年薪火金卷高考仿真模拟卷化学 答案主要是用来给同学们做完题方便对答案用的,请勿直接抄袭。
18. (14 分) 有机物 $R$ 是一种手性催化剂, 在药物合成中具有重要作用, 其合成路线如下:

已知: $R-NH_{2}+R^{\prime}-C-Cl \stackrel{ 一定条件 }{=} R-NH-C-R^{\prime}$ 。
回答下列问题:
(1) $A$ 的化学名称为_______; $G$ 中含氧官能团的名称为_______。 $G \to H$ 的反应类型为_______。
(2) $E$ 的结构简式为_______。设计反应(1)、(2)的目的是_______。
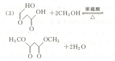
(3) $B \to C$ 的化学方程式为_______。
(4) $R$ 中含有_______个手性碳原子 (连有 4 个不同原子或原子团)。
(5) 写出两种符合下列条件的 $C$ 的同分异构体的结构简式:_______。
(1)能发生银镜反应
(2)核磁共振氢谱中有 3 组吸收峰, 且面积之比为 $2: 1: 1$

(3)不存在结构
(6)以乙二醇和对苯二胺 ( $H_{2} ~N-◯-NH_{2}$ ) 为原料, 设计制备 $(Cl \mp C-C-NH-◯-NH \exists H)$ 的合成路线 (其他无机试剂任选):_______。

已知: $R-NH_{2}+R^{\prime}-C-Cl \stackrel{ 一定条件 }{=} R-NH-C-R^{\prime}$ 。
回答下列问题:
(1) $A$ 的化学名称为_______; $G$ 中含氧官能团的名称为_______。 $G \to H$ 的反应类型为_______。
(2) $E$ 的结构简式为_______。设计反应(1)、(2)的目的是_______。
(3) $B \to C$ 的化学方程式为_______。
(4) $R$ 中含有_______个手性碳原子 (连有 4 个不同原子或原子团)。
(5) 写出两种符合下列条件的 $C$ 的同分异构体的结构简式:_______。
(1)能发生银镜反应
(2)核磁共振氢谱中有 3 组吸收峰, 且面积之比为 $2: 1: 1$
(3)不存在结构
(6)以乙二醇和对苯二胺 ( $H_{2} ~N-◯-NH_{2}$ ) 为原料, 设计制备 $(Cl \mp C-C-NH-◯-NH \exists H)$ 的合成路线 (其他无机试剂任选):_______。
答案:
(1)1,3−丙二醇 羟基、酰胺键 加成反应
(2)
保护羧基,避免与CH3I反应

(4)2

(1)1,3−丙二醇 羟基、酰胺键 加成反应
(2)
(4)2
查看更多完整答案,请扫码查看