2026年薪火金卷高考仿真模拟卷化学
注:目前有些书本章节名称可能整理的还不是很完善,但都是按照顺序排列的,请同学们按照顺序仔细查找。练习册 2026年薪火金卷高考仿真模拟卷化学 答案主要是用来给同学们做完题方便对答案用的,请勿直接抄袭。
17. (14分)神经病理性疼痛治疗药物米洛巴林苯磺酸盐的部分合成路线如图:

已知:${RCOOH\xrightarrow[\Delta]{SOCl_{2}}RCOCl}$回答下列问题:
(1)${B}$中所含官能团名称为_______。
(2)${Br}$的系统命名为_______,Ⅲ的反应类型为_______。
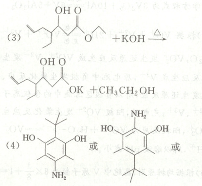
(3)${V}$的化学方程式为_______。
(4)米洛巴林的一种同分异构体${F}$,同时满足下列条件:
①属于芳香族化合物且能与${FeCl_{3}}$发生显色反应;
②核磁共振氢谱有四组峰,峰面积之比为$9:6:2:2$。
则${F}$的结构简式为_______。
(5)Ⅵ为成盐反应,其目的是将米洛巴林转化为米洛巴林苯磺酸盐。
①米洛巴林中能与苯磺酸反应的官能团为_______,从结构角度分析其能与苯磺酸反应的原因是_______。
②熔点:米洛巴林_______米洛巴林苯磺酸盐(填“$>$”“$<$”或“$=$”)。
(6)参照上述合成路线,设计仅由
和${CH_{3}COOH}$两种有机原料制备${O}$(无机试剂任选)的合成路线:_______。

已知:${RCOOH\xrightarrow[\Delta]{SOCl_{2}}RCOCl}$回答下列问题:
(1)${B}$中所含官能团名称为_______。
(2)${Br}$的系统命名为_______,Ⅲ的反应类型为_______。
(3)${V}$的化学方程式为_______。
(4)米洛巴林的一种同分异构体${F}$,同时满足下列条件:
①属于芳香族化合物且能与${FeCl_{3}}$发生显色反应;
②核磁共振氢谱有四组峰,峰面积之比为$9:6:2:2$。
则${F}$的结构简式为_______。
(5)Ⅵ为成盐反应,其目的是将米洛巴林转化为米洛巴林苯磺酸盐。
①米洛巴林中能与苯磺酸反应的官能团为_______,从结构角度分析其能与苯磺酸反应的原因是_______。
②熔点:米洛巴林_______米洛巴林苯磺酸盐(填“$>$”“$<$”或“$=$”)。
(6)参照上述合成路线,设计仅由
答案:
(1)羰基、酯基
(2)3 - 溴丙烯 取代反应


(5)①—NH₂ —NH₂ 上有孤电子对能与 H⁺形成配位键 ②<

(1)羰基、酯基
(2)3 - 溴丙烯 取代反应
(5)①—NH₂ —NH₂ 上有孤电子对能与 H⁺形成配位键 ②<
查看更多完整答案,请扫码查看