2025年非常学案高中化学选择性必修第一册人教版
注:目前有些书本章节名称可能整理的还不是很完善,但都是按照顺序排列的,请同学们按照顺序仔细查找。练习册 2025年非常学案高中化学选择性必修第一册人教版 答案主要是用来给同学们做完题方便对答案用的,请勿直接抄袭。
第33页
- 第1页
- 第2页
- 第3页
- 第4页
- 第5页
- 第6页
- 第7页
- 第8页
- 第9页
- 第10页
- 第11页
- 第12页
- 第13页
- 第14页
- 第15页
- 第16页
- 第17页
- 第18页
- 第19页
- 第20页
- 第21页
- 第22页
- 第23页
- 第24页
- 第25页
- 第26页
- 第27页
- 第28页
- 第29页
- 第30页
- 第31页
- 第32页
- 第33页
- 第34页
- 第35页
- 第36页
- 第37页
- 第38页
- 第39页
- 第40页
- 第41页
- 第42页
- 第43页
- 第44页
- 第45页
- 第46页
- 第47页
- 第48页
- 第49页
- 第50页
- 第51页
- 第52页
- 第53页
- 第54页
- 第55页
- 第56页
- 第57页
- 第58页
- 第59页
- 第60页
- 第61页
- 第62页
- 第63页
- 第64页
- 第65页
- 第66页
- 第67页
- 第68页
- 第69页
- 第70页
- 第71页
- 第72页
- 第73页
- 第74页
- 第75页
- 第76页
- 第77页
- 第78页
- 第79页
- 第80页
- 第81页
- 第82页
- 第83页
- 第84页
- 第85页
- 第86页
- 第87页
- 第88页
- 第89页
- 第90页
- 第91页
- 第92页
- 第93页
- 第94页
- 第95页
- 第96页
- 第97页
- 第98页
- 第99页
- 第100页
- 第101页
- 第102页
- 第103页
- 第104页
- 第105页
- 第106页
- 第107页
- 第108页
- 第109页
- 第110页
- 第111页
- 第112页
- 第113页
- 第114页
- 第115页
- 第116页
- 第117页
- 第118页
- 第119页
- 第120页
- 第121页
- 第122页
- 第123页
- 第124页
- 第125页
2. 某温度下,可逆反应$mA(g) + nB(g) \rightleftharpoons pC(g)$的平衡常数为 K,下列对 K 的说法正确的是 (
A.$K = \frac{c^{m}(A) · c^{n}(B)}{c^{p}(C)}$
B.如果$m + n = p$,则$K = 1$
C.若缩小反应容器的容积,增大压强,则 K 增大
D.K 越大,表明该反应越有利于 C 的生成,平衡时反应物的转化率越大
D
)A.$K = \frac{c^{m}(A) · c^{n}(B)}{c^{p}(C)}$
B.如果$m + n = p$,则$K = 1$
C.若缩小反应容器的容积,增大压强,则 K 增大
D.K 越大,表明该反应越有利于 C 的生成,平衡时反应物的转化率越大
答案:
2.D
3. 写出下列反应的平衡常数表达式:
(1) $2NO + O_{2} \rightleftharpoons 2NO_{2}$ $K =$
(2) $3Fe(s) + 4H_{2}O(g) \rightleftharpoons Fe_{3}O_{4}(s) + 4H_{2}(g)$ $K =$
(3) $CaCO_{3}(s) \rightleftharpoons CaO(s) + CO_{2}(g)$ $K =$
(1) $2NO + O_{2} \rightleftharpoons 2NO_{2}$ $K =$
$\frac{c^2({NO2})}{c^2({NO})· c({O2})}$
。(2) $3Fe(s) + 4H_{2}O(g) \rightleftharpoons Fe_{3}O_{4}(s) + 4H_{2}(g)$ $K =$
$\frac{c^4({H2})}{c^4({H2O})}$
。(3) $CaCO_{3}(s) \rightleftharpoons CaO(s) + CO_{2}(g)$ $K =$
$c({CO2})$
。
答案:
3.
(1)$\frac{c^2({NO2})}{c^2({NO})· c({O2})}$
(2)$\frac{c^4({H2})}{c^4({H2O})}$
(3)$c({CO2})$
(1)$\frac{c^2({NO2})}{c^2({NO})· c({O2})}$
(2)$\frac{c^4({H2})}{c^4({H2O})}$
(3)$c({CO2})$
新知必备
1. 平衡常数与方程式的关系
(1) 同一可逆反应中,$K_{正} · K_{逆} = 1$。
(2) 同一方程式中的化学计量数等倍扩大或缩小 n 倍,则新平衡常数$K'$与原平衡常数 K 的关系是$K' = K^{n}$或$K' = \sqrt[n]{K}$。
(3) 几个可逆反应方程式相加,得总方程式,则总反应的平衡常数等于分步反应平衡常数之积。
如已知$A + B \rightleftharpoons 2C\ \ K_{1}$,$C + D \rightleftharpoons E\ \ K_{2}$,则$A + B + 2D \rightleftharpoons 2E$的$K_{3} = K_{1} · K_{2}^{2}$。
2. 平衡常数的应用
(1) 判断可逆反应进行程度的大小
$K$越大 正反应进行的程度越大→反应物的转化率越高
$K$越小 正反应进行的程度越小→反应物的转化率越低
(2) 判断反应的热效应
① 升高温度
$K$增大→正反应为吸热反应
$K$减小→正反应为放热反应
② 降低温度
$K$增大→正反应为放热反应
$K$减小→正反应为吸热反应
(3) 判断可逆反应是否平衡及不平衡时的反应方向
①$Q < K$,反应向
②$Q = K$,反应处于
③$Q > K$,反应向
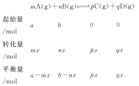
3. “三段式”突破化学平衡计算

(1) 平衡常数$K = \frac{(\frac{px}{V})^{p} · (\frac{qx}{V})^{q}}{(\frac{a - mx}{V})^{m} · (\frac{b - nx}{V})^{n}}$。
(2) 平衡时 A 的物质的量浓度$c(A) =$
$mol · L^{-1}$。
(3) 平衡时 A 的转化率$\alpha = \frac{mx}{a} × 100\%$,A、B 的转化率之比为$\alpha(A) : \alpha(B) =$
。
(4) 平衡时 A 的体积分数$\varphi(A) = \frac{a - mx}{a + b + (p + q - m - n)x} × 100\%$。
(5) 平衡时和开始时的压强之比$\frac{p(平)}{p(始)} = \frac{a + b + (p + q - m - n)x}{a + b}$。
(6) 生成物产率 = $\frac{该物质实际产量}{该物质理论产量} × 100\%$。
1. 平衡常数与方程式的关系
(1) 同一可逆反应中,$K_{正} · K_{逆} = 1$。
(2) 同一方程式中的化学计量数等倍扩大或缩小 n 倍,则新平衡常数$K'$与原平衡常数 K 的关系是$K' = K^{n}$或$K' = \sqrt[n]{K}$。
(3) 几个可逆反应方程式相加,得总方程式,则总反应的平衡常数等于分步反应平衡常数之积。
如已知$A + B \rightleftharpoons 2C\ \ K_{1}$,$C + D \rightleftharpoons E\ \ K_{2}$,则$A + B + 2D \rightleftharpoons 2E$的$K_{3} = K_{1} · K_{2}^{2}$。
2. 平衡常数的应用
(1) 判断可逆反应进行程度的大小
$K$越大 正反应进行的程度越大→反应物的转化率越高
$K$越小 正反应进行的程度越小→反应物的转化率越低
(2) 判断反应的热效应
① 升高温度
$K$增大→正反应为吸热反应
$K$减小→正反应为放热反应
② 降低温度
$K$增大→正反应为放热反应
$K$减小→正反应为吸热反应
(3) 判断可逆反应是否平衡及不平衡时的反应方向
①$Q < K$,反应向
正反应方向
进行;②$Q = K$,反应处于
平衡状态
;③$Q > K$,反应向
逆反应方向
进行。3. “三段式”突破化学平衡计算
(1) 平衡常数$K = \frac{(\frac{px}{V})^{p} · (\frac{qx}{V})^{q}}{(\frac{a - mx}{V})^{m} · (\frac{b - nx}{V})^{n}}$。
(2) 平衡时 A 的物质的量浓度$c(A) =$
(3) 平衡时 A 的转化率$\alpha = \frac{mx}{a} × 100\%$,A、B 的转化率之比为$\alpha(A) : \alpha(B) =$
(4) 平衡时 A 的体积分数$\varphi(A) = \frac{a - mx}{a + b + (p + q - m - n)x} × 100\%$。
(5) 平衡时和开始时的压强之比$\frac{p(平)}{p(始)} = \frac{a + b + (p + q - m - n)x}{a + b}$。
(6) 生成物产率 = $\frac{该物质实际产量}{该物质理论产量} × 100\%$。
答案:
2.
(3)正反应方向 平衡状态 逆反应方向
(3)正反应方向 平衡状态 逆反应方向
查看更多完整答案,请扫码查看