2025年全程检测单元测试卷八年级数学上册沪教版
注:目前有些书本章节名称可能整理的还不是很完善,但都是按照顺序排列的,请同学们按照顺序仔细查找。练习册 2025年全程检测单元测试卷八年级数学上册沪教版 答案主要是用来给同学们做完题方便对答案用的,请勿直接抄袭。
1. 如图1,一个三角形被木板遮住了一部分,这个三角形是(

A.锐角三角形
B.直角三角形
C.钝角三角形
D.以上都有可能
D
).A.锐角三角形
B.直角三角形
C.钝角三角形
D.以上都有可能
答案:
1.D 【解析】从题图中只能看到一个角是锐角,其他的两个角可以都是锐角或有一个钝角或有一个直角.故选D.
2. 下列长度的三条线段能组成三角形的是(
A.13,11,12
B.3,2,1
C.5,12,7
D.5,13,5
A
).A.13,11,12
B.3,2,1
C.5,12,7
D.5,13,5
答案:
2.A 【解析】根据三角形的三边关系进行判断.选项A,11 + 12 > 13,能组成三角形,符合题意;选项B,1 + 2 = 3,不能组成三角形,不符合题意;选项C,5 + 7 = 12,不能组成三角形,不符合题意;选项D,5 + 5 < 13,不能组成三角形,不符合题意.故选A.
3. 命题“同角的余角相等”改写成“如果……那么……”的形式是(
A.如果是同角的余角,那么相等
B.如果两个角互余,那么这两个角相等
C.如果两个角是同角,那么这两个角是余角
D.如果两个角是同一个角的余角,那么这两个角相等
D
)A.如果是同角的余角,那么相等
B.如果两个角互余,那么这两个角相等
C.如果两个角是同角,那么这两个角是余角
D.如果两个角是同一个角的余角,那么这两个角相等
答案:
3.D 【解析】命题“同角的余角相等”改写成“如果……那么……”的形式是“如果两个角是同一个角的余角,那么这两个角相等”.故选D.
4. 如图2,$\angle A=30^{\circ}$,$\angle CBD$是$\triangle ABC$的外角,$\angle CBD=130^{\circ}$,则$\angle C$的度数是(

A.$100^{\circ}$
B.$90^{\circ}$
C.$80^{\circ}$
D.$70^{\circ}$
A
).A.$100^{\circ}$
B.$90^{\circ}$
C.$80^{\circ}$
D.$70^{\circ}$
答案:
4.A 【解析】
∵∠CBD是△ABC的外角,
∴∠CBD = ∠A + ∠C = 130°.
∴∠C = ∠CBD - ∠A = 130° - 30° = 100°.故选A.
∵∠CBD是△ABC的外角,
∴∠CBD = ∠A + ∠C = 130°.
∴∠C = ∠CBD - ∠A = 130° - 30° = 100°.故选A.
5. 某学校八年级学生王冲的家和同学孙锐的家到学校的直线距离分别是3 km和4 km,那么王冲、孙锐两家的直线距离不可能是(
A.1 km
B.2 km
C.3 km
D.8 km
D
).A.1 km
B.2 km
C.3 km
D.8 km
答案:
5.D 【解析】若王冲家、孙锐家和学校在同一直线上,则王冲、孙锐两家的直线距离为3 + 4 = 7(km)(王冲家、孙锐家分别在学校两侧)或4 - 3 = 1(km)(王冲家、孙锐家在学校同侧).若王冲家、孙锐家和学校不在同一直线上,则王冲家、孙锐家和学校构成一个三角形.根据三角形三边的大小关系得,(4 - 3)km < 王冲、孙锐两家的直线距离 < (4 + 3)km,即1km < 王冲、孙锐两家的直线距离 < 7km.故选D.
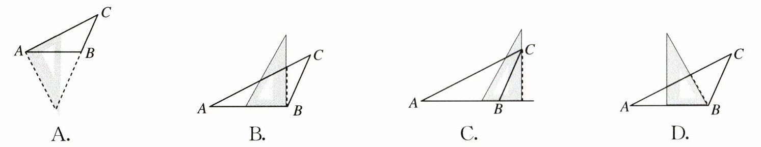
6. 用直角三角板作$\triangle ABC$的高,下列作法正确的是(

A.
B.
C.
D.
C
).A.
B.
C.
D.
答案:
6.C 【解析】三角形一边上的高一定经过这条边所对的顶点,由图形可知选项A,B,D中所作的线段均不是高.故选C.
7. 梅森素数是一类特殊的素数,其名称来源于17世纪法国数学家马林·梅森(Marin Mersenne).它的定义是形如$2^{p}-1$的素数(其中$p$是素数,且结果也为素数).梅森素数因形式简洁、寻找困难,被誉为“数海明珠”.例如:$2^{2}-1=3$是梅森素数,$2^{3}-1=7$是梅森素数.根据梅森素数的定义,以下命题中是真命题的是(
A.$2^{4}-1=15$是梅森素数
B.$2^{5}-1=31$是梅森素数
C.$2^{6}-1=63$是梅森素数
D.$2^{9}-1=511$是梅森素数
B
).A.$2^{4}-1=15$是梅森素数
B.$2^{5}-1=31$是梅森素数
C.$2^{6}-1=63$是梅森素数
D.$2^{9}-1=511$是梅森素数
答案:
7.B 【解析】选项A,p = 4不是素数,不符合梅森素数的定义,是假命题;选项B,p = 5是素数,且31是素数,符合梅森素数的定义,是真命题;选项C,p = 6不是素数,不符合梅森素数的定义,是假命题;选项D,p = 9不是素数,不符合梅森素数的定义,是假命题.故选B.
查看更多完整答案,请扫码查看