第32页
- 第1页
- 第2页
- 第3页
- 第4页
- 第5页
- 第6页
- 第7页
- 第8页
- 第9页
- 第10页
- 第11页
- 第12页
- 第13页
- 第14页
- 第15页
- 第16页
- 第17页
- 第18页
- 第19页
- 第20页
- 第21页
- 第22页
- 第23页
- 第24页
- 第25页
- 第26页
- 第27页
- 第28页
- 第29页
- 第30页
- 第31页
- 第32页
- 第33页
- 第34页
- 第35页
- 第36页
- 第37页
- 第38页
- 第39页
- 第40页
- 第41页
- 第42页
- 第43页
- 第44页
- 第45页
- 第46页
- 第47页
- 第48页
- 第49页
- 第50页
- 第51页
- 第52页
- 第53页
- 第54页
- 第55页
- 第56页
- 第57页
- 第58页
- 第59页
- 第60页
- 第61页
- 第62页
- 第63页
- 第64页
- 第65页
- 第66页
- 第67页
- 第68页
- 第69页
- 第70页
- 第71页
- 第72页
- 第73页
1. 填空题。
(1)5.9595…用简便方法记作( ),保留整数约是( ),精确到十分位约是( )。
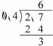
(2)如果要把 2.7 千克的芝麻分装在一些玻璃瓶里,每个玻璃瓶最多可以装 0.4 千克,那么需要准备多少个这样的玻璃瓶? 右图是用竖式计算所需玻璃瓶的个数,这个竖式中的“3”表示( ),一共需要准备( )个这样的瓶子。

(3)同学们准备用 6 米的红丝带扎红花,每 0.35 米可以扎一朵红花,这些丝带最多能扎( )朵红花。把这些花插在花瓶里,每个花瓶插 3 朵,至少需要( )个花瓶才能把这些花都插起来。
(1)5.9595…用简便方法记作( ),保留整数约是( ),精确到十分位约是( )。
(2)如果要把 2.7 千克的芝麻分装在一些玻璃瓶里,每个玻璃瓶最多可以装 0.4 千克,那么需要准备多少个这样的玻璃瓶? 右图是用竖式计算所需玻璃瓶的个数,这个竖式中的“3”表示( ),一共需要准备( )个这样的瓶子。
(3)同学们准备用 6 米的红丝带扎红花,每 0.35 米可以扎一朵红花,这些丝带最多能扎( )朵红花。把这些花插在花瓶里,每个花瓶插 3 朵,至少需要( )个花瓶才能把这些花都插起来。
答案:
1.
(1)5.$\dot{9}\dot{5}$ 6 6.0
(2)3个十分之一 7
(3)17 6
解析
(1)5.9595…的循环节是95,保留整数,5.$\dot{9}\dot{5}$≈6;精确到十分位即保留一位小数,5.$\dot{9}\dot{5}$≈6.0。注意6.0的"0"表示精确度,不能去掉。
(2)根据原来的小数点的位置判断,余数"3"在十分位上,表示3个十分之一。采用进一法,可知需要准备7个瓶子。
(3)6÷0.35=17(朵)……0.05(米),去尾法,最多能扎17朵。17÷3=5(个)……2(朵),5+1=6(个),进一法,需要准备6个花瓶。
(1)5.$\dot{9}\dot{5}$ 6 6.0
(2)3个十分之一 7
(3)17 6
解析
(1)5.9595…的循环节是95,保留整数,5.$\dot{9}\dot{5}$≈6;精确到十分位即保留一位小数,5.$\dot{9}\dot{5}$≈6.0。注意6.0的"0"表示精确度,不能去掉。
(2)根据原来的小数点的位置判断,余数"3"在十分位上,表示3个十分之一。采用进一法,可知需要准备7个瓶子。
(3)6÷0.35=17(朵)……0.05(米),去尾法,最多能扎17朵。17÷3=5(个)……2(朵),5+1=6(个),进一法,需要准备6个花瓶。
2. 小礼带了 64.8 元去书店买故事书,每本故事书 4.8 元,她最多可以买多少本故事书? 下面说法正确的有( )。(选一选)

A.①③
B.②④
C.③
D.②
A.①③
B.②④
C.③
D.②
答案:
B
解析 由"总价÷单价=数量"可得,64.8元能买64.8÷4.8=13.5(本)故事书。由于书本的数量只能是整数,所以最多只能买13本,①错误,②正确。"四舍五入"需要结合现实情况,生活中正常消费时,钱不够只能向下取整,不可能向上取整而多买,③错误。如果要买14本,那么需要14×4.8=67.2(元),钱不够,④正确。本题选B。
解析 由"总价÷单价=数量"可得,64.8元能买64.8÷4.8=13.5(本)故事书。由于书本的数量只能是整数,所以最多只能买13本,①错误,②正确。"四舍五入"需要结合现实情况,生活中正常消费时,钱不够只能向下取整,不可能向上取整而多买,③错误。如果要买14本,那么需要14×4.8=67.2(元),钱不够,④正确。本题选B。
3. 填出每道算式表示的意思。
2 台同样的小型收割机,3 小时可以收割 5.1 公顷小麦。
(1)5.1÷2 表示( )台收割机( )小时收割的公顷数。
(2)5.1÷3 表示( )台收割机( )小时收割的公顷数。
(3)5.1÷2÷3 表示( )台收割机( )小时收割的公顷数。
2 台同样的小型收割机,3 小时可以收割 5.1 公顷小麦。
(1)5.1÷2 表示( )台收割机( )小时收割的公顷数。
(2)5.1÷3 表示( )台收割机( )小时收割的公顷数。
(3)5.1÷2÷3 表示( )台收割机( )小时收割的公顷数。
答案:
3.
(1)1 3
(2)2 1
(3)1 1
解析
(1)总工作量÷总台数=每台收割机3小时的工作量。
(2)总工作量÷总时数=2台收割机每小时的总工作量。
(3)总工作量÷总台数÷总时数=每台收割机每小时的工作量。
(1)1 3
(2)2 1
(3)1 1
解析
(1)总工作量÷总台数=每台收割机3小时的工作量。
(2)总工作量÷总时数=2台收割机每小时的总工作量。
(3)总工作量÷总台数÷总时数=每台收割机每小时的工作量。
4. 一种袋装咖啡粉共 250 g,每冲一杯需要 18 g 咖啡粉和 6 g 方糖。

答案:
4.250÷18≈14(杯) 14×6=84(g)
解析 先求出这袋咖啡粉最多可以冲多少杯咖啡,题目中说到"冲完这袋咖啡粉",所以结果采用进一法,再求出需要多少克方糖。
解析 先求出这袋咖啡粉最多可以冲多少杯咖啡,题目中说到"冲完这袋咖啡粉",所以结果采用进一法,再求出需要多少克方糖。
5.【拓展题】小秋在计算 85.44 除以一个数时,由于商的小数点向左多点了一位,结果得 53.4。这道题的除数是多少?
答案:
5.85.44÷(53.4×10)=0.16
解析 正确的商是53.4×10=534,由"除数=被除数÷商"可知,除数是85.44÷534=0.16。
解析 正确的商是53.4×10=534,由"除数=被除数÷商"可知,除数是85.44÷534=0.16。
查看更多完整答案,请扫码查看