第15页
- 第1页
- 第2页
- 第3页
- 第4页
- 第5页
- 第6页
- 第7页
- 第8页
- 第9页
- 第10页
- 第11页
- 第12页
- 第13页
- 第14页
- 第15页
- 第16页
- 第17页
- 第18页
- 第19页
- 第20页
- 第21页
- 第22页
- 第23页
- 第24页
- 第25页
- 第26页
- 第27页
- 第28页
- 第29页
- 第30页
- 第31页
- 第32页
- 第33页
- 第34页
- 第35页
- 第36页
- 第37页
- 第38页
- 第39页
- 第40页
- 第41页
- 第42页
- 第43页
- 第44页
- 第45页
- 第46页
- 第47页
- 第48页
- 第49页
- 第50页
- 第51页
- 第52页
- 第53页
- 第54页
- 第55页
- 第56页
- 第57页
- 第58页
- 第59页
- 第60页
- 第61页
- 第62页
- 第63页
- 第64页
- 第65页
- 第66页
- 第67页
- 第68页
- 第69页
- 第70页
- 第71页
- 第72页
- 第73页
- 第74页
- 第75页
- 第76页
- 第77页
- 第78页
- 第79页
- 第80页
- 第81页
- 第82页
- 第83页
- 第84页
- 第85页
- 第86页
- 第87页
- 第88页
- 第89页
- 第90页
- 第91页
- 第92页
- 第93页
- 第94页
- 第95页
- 第96页
- 第97页
- 第98页
- 第99页
- 第100页
- 第101页
- 第102页
- 第103页
- 第104页
- 第105页
- 第106页
- 第107页
- 第108页
- 第109页
- 第110页
- 第111页
- 第112页
- 第113页
- 第114页
- 第115页
- 第116页
- 第117页
- 第118页
- 第119页
- 第120页
10. 实验室用高锰酸钾制取氧气的装置中,有关几个“口”的位置正确的是 (
A.装试剂的试管口应向上倾斜
B.试管内的导管口应稍露出橡胶塞即可
C.用排空气法收集氧气时,导管口应伸到瓶口处
D.用排水法收集氧气时,导管口应伸入集气瓶底部
B
)A.装试剂的试管口应向上倾斜
B.试管内的导管口应稍露出橡胶塞即可
C.用排空气法收集氧气时,导管口应伸到瓶口处
D.用排水法收集氧气时,导管口应伸入集气瓶底部
答案:
【解析】:
本题考察的是实验室用高锰酸钾制取氧气的装置中,关于“口”的位置的正确设置。
A选项,装试剂的试管口应略向下倾斜,以防止冷凝水回流到热的试管底部,引起试管炸裂,所以A选项错误。
B选项,试管内的导管口应稍露出橡胶塞即可,这样便于气体的导出,所以B选项正确。
C选项,用排空气法收集氧气时,导管口应伸到集气瓶的底部,以充分排尽瓶内的空气,收集到较纯净的氧气,所以C选项错误。
D选项,用排水法收集氧气时,导管口应伸到集气瓶的口部,以便于氧气的收集和水从瓶中排出,所以D选项错误。
【答案】:B
本题考察的是实验室用高锰酸钾制取氧气的装置中,关于“口”的位置的正确设置。
A选项,装试剂的试管口应略向下倾斜,以防止冷凝水回流到热的试管底部,引起试管炸裂,所以A选项错误。
B选项,试管内的导管口应稍露出橡胶塞即可,这样便于气体的导出,所以B选项正确。
C选项,用排空气法收集氧气时,导管口应伸到集气瓶的底部,以充分排尽瓶内的空气,收集到较纯净的氧气,所以C选项错误。
D选项,用排水法收集氧气时,导管口应伸到集气瓶的口部,以便于氧气的收集和水从瓶中排出,所以D选项错误。
【答案】:B
11. 下列有关高锰酸钾制取氧气过程的先后顺序正确的是 (
A.实验时,先装入高锰酸钾,后检查装置气密性
B.检查装置气密性时,先用手紧握试管,后把导管一端放入水中
C.加热时,先使试管均匀受热,后对着试剂集中加热
D.停止加热时,先熄灭酒精灯,后将导管移出水面
C
)A.实验时,先装入高锰酸钾,后检查装置气密性
B.检查装置气密性时,先用手紧握试管,后把导管一端放入水中
C.加热时,先使试管均匀受热,后对着试剂集中加热
D.停止加热时,先熄灭酒精灯,后将导管移出水面
答案:
【解析】:
本题主要考察实验室用高锰酸钾制取氧气的实验步骤和注意事项。
A选项,在实验时,应先检查装置的气密性,确保装置不漏气,然后再装入高锰酸钾。如果先装入高锰酸钾再检查气密性,一旦发现装置漏气,就需要重新准备,这样会浪费药品。因此,A选项的顺序是错误的。
B选项,在检查装置气密性时,应先把导管一端放入水中,然后用手紧握试管。如果先用手紧握试管,再将导管放入水中,可能无法准确判断装置的气密性,因为手紧握试管会使试管内空气温度升高,压强增大,如果此时导管已放入水中,可能会误判装置漏气。因此,B选项的顺序是错误的。
C选项,在加热时,为了防止试管受热不均而破裂,应先使试管均匀受热,然后再对着试剂集中加热。这样可以使试管内的温度逐渐升高,避免试管因受热不均而破裂。因此,C选项的顺序是正确的。
D选项,在停止加热时,如果先熄灭酒精灯,再将导管移出水面,由于试管内温度降低,压强减小,水槽中的水可能会倒吸入试管,使试管破裂。因此,应先将导管移出水面,再熄灭酒精灯。D选项的顺序是错误的。
综上所述,只有C选项描述的先后顺序是正确的。
【答案】:C
本题主要考察实验室用高锰酸钾制取氧气的实验步骤和注意事项。
A选项,在实验时,应先检查装置的气密性,确保装置不漏气,然后再装入高锰酸钾。如果先装入高锰酸钾再检查气密性,一旦发现装置漏气,就需要重新准备,这样会浪费药品。因此,A选项的顺序是错误的。
B选项,在检查装置气密性时,应先把导管一端放入水中,然后用手紧握试管。如果先用手紧握试管,再将导管放入水中,可能无法准确判断装置的气密性,因为手紧握试管会使试管内空气温度升高,压强增大,如果此时导管已放入水中,可能会误判装置漏气。因此,B选项的顺序是错误的。
C选项,在加热时,为了防止试管受热不均而破裂,应先使试管均匀受热,然后再对着试剂集中加热。这样可以使试管内的温度逐渐升高,避免试管因受热不均而破裂。因此,C选项的顺序是正确的。
D选项,在停止加热时,如果先熄灭酒精灯,再将导管移出水面,由于试管内温度降低,压强减小,水槽中的水可能会倒吸入试管,使试管破裂。因此,应先将导管移出水面,再熄灭酒精灯。D选项的顺序是错误的。
综上所述,只有C选项描述的先后顺序是正确的。
【答案】:C
12. 如图是实验室用一定质量高锰酸钾分解制氧气时相关量随时间变化的坐标曲线图,图示

A
B
C D
不
正
确
的是 (C
)A
B
C D
答案:
【解析】:
本题可根据高锰酸钾制取氧气的反应原理,结合各选项中坐标曲线所表示的量的变化情况来进行分析。
高锰酸钾在加热条件下分解生成锰酸钾、二氧化锰和氧气,化学方程式为$2KMnO_{4}\xlongequal{\triangle}K_{2}MnO_{4}+MnO_{2}+O_{2}\uparrow$。
选项A:氧气质量随反应时间的变化曲线
在加热高锰酸钾制取氧气的过程中,开始加热时,温度未达到高锰酸钾的分解温度,没有氧气产生,当温度达到分解温度后,高锰酸钾开始分解产生氧气,随着反应的进行,氧气的质量逐渐增加,当高锰酸钾完全分解后,氧气的质量不再变化,该选项曲线符合氧气质量随反应时间的变化情况,故A选项正确。
选项B:固体质量随反应时间的变化曲线
由于高锰酸钾分解会产生氧气,氧气是气体逸出,导致固体质量逐渐减少,当高锰酸钾完全分解后,固体质量不再变化,但不会减少到$0$,因为反应后还有锰酸钾和二氧化锰固体剩余,该选项曲线符合固体质量随反应时间的变化情况,故B选项正确。
选项C:锰酸钾质量随加热时间的变化曲线
高锰酸钾分解生成锰酸钾、二氧化锰和氧气,随着反应的进行,锰酸钾的质量从$0$开始逐渐增加,当高锰酸钾完全分解后,锰酸钾的质量不再变化,而该选项曲线表示锰酸钾质量先增加后减少,不符合实际情况,故C选项错误。
选项D:氧气质量随加热时间的变化曲线
开始加热时,没有氧气产生,一段时间后,高锰酸钾开始分解产生氧气,氧气质量逐渐增加,当高锰酸钾完全分解后,氧气质量不再变化,该选项曲线符合氧气质量随加热时间的变化情况,故D选项正确。
【答案】:C
本题可根据高锰酸钾制取氧气的反应原理,结合各选项中坐标曲线所表示的量的变化情况来进行分析。
高锰酸钾在加热条件下分解生成锰酸钾、二氧化锰和氧气,化学方程式为$2KMnO_{4}\xlongequal{\triangle}K_{2}MnO_{4}+MnO_{2}+O_{2}\uparrow$。
选项A:氧气质量随反应时间的变化曲线
在加热高锰酸钾制取氧气的过程中,开始加热时,温度未达到高锰酸钾的分解温度,没有氧气产生,当温度达到分解温度后,高锰酸钾开始分解产生氧气,随着反应的进行,氧气的质量逐渐增加,当高锰酸钾完全分解后,氧气的质量不再变化,该选项曲线符合氧气质量随反应时间的变化情况,故A选项正确。
选项B:固体质量随反应时间的变化曲线
由于高锰酸钾分解会产生氧气,氧气是气体逸出,导致固体质量逐渐减少,当高锰酸钾完全分解后,固体质量不再变化,但不会减少到$0$,因为反应后还有锰酸钾和二氧化锰固体剩余,该选项曲线符合固体质量随反应时间的变化情况,故B选项正确。
选项C:锰酸钾质量随加热时间的变化曲线
高锰酸钾分解生成锰酸钾、二氧化锰和氧气,随着反应的进行,锰酸钾的质量从$0$开始逐渐增加,当高锰酸钾完全分解后,锰酸钾的质量不再变化,而该选项曲线表示锰酸钾质量先增加后减少,不符合实际情况,故C选项错误。
选项D:氧气质量随加热时间的变化曲线
开始加热时,没有氧气产生,一段时间后,高锰酸钾开始分解产生氧气,氧气质量逐渐增加,当高锰酸钾完全分解后,氧气质量不再变化,该选项曲线符合氧气质量随加热时间的变化情况,故D选项正确。
【答案】:C
13. 小红用高锰酸钾制取氧气,准备了如图所示的仪器,回答下列问题。

A B C D E F G
(1)实验中不会用到的仪器是
(2)组装收集装置应选择的仪器是
(3)(中考新考法·意外现象)实验结束后,发现收集的氧气不纯,可能的原因是
A B C D E F G
(1)实验中不会用到的仪器是
量筒
(填仪器名称)。(2)组装收集装置应选择的仪器是
D、F、G
(填字母)。收集氧气的最佳时机为 导管口有连续均匀气泡冒出时
。(3)(中考新考法·意外现象)实验结束后,发现收集的氧气不纯,可能的原因是
未等导管口有连续均匀气泡冒出就开始收集;集气瓶未装满水
。
答案:
(1)量筒
(2)D、F、G;导管口有连续均匀气泡冒出时
(3)未等导管口有连续均匀气泡冒出就开始收集;集气瓶未装满水
(1)量筒
(2)D、F、G;导管口有连续均匀气泡冒出时
(3)未等导管口有连续均匀气泡冒出就开始收集;集气瓶未装满水
14. 兴趣小组同学利用下列装置制取氧气并进行相关实验。回答下列问题。

A B C D E
(1)仪器①的名称是
(2)实验室用高锰酸钾制取氧气,应选用的发生装置是
(3)若要收集一瓶较纯净的氧气,应选用的收集装置是
(4)收集完成后若要检验收集到的气体为氧气,操作方法是
(5)实验结束后,洗涤试管后发现试管破裂,原因可能是
A B C D E
(1)仪器①的名称是
试管
。(2)实验室用高锰酸钾制取氧气,应选用的发生装置是
A
(填字母,后同),原因是反应物为固体且需要加热
。该装置中有一处不足,请改正:在试管口塞一团棉花
。(3)若要收集一瓶较纯净的氧气,应选用的收集装置是
C
,利用了氧气不易溶于水且不与水反应
的物理性质。(4)收集完成后若要检验收集到的气体为氧气,操作方法是
将带火星的木条伸入集气瓶中,若木条复燃,则证明是氧气
。(5)实验结束后,洗涤试管后发现试管破裂,原因可能是
试管口未略向下倾斜(或加热时试管外壁有水珠、未预热、实验结束时先熄灭酒精灯后移出导管等)
。
答案:
(1)试管
(2)A;反应物为固体且需要加热;在试管口塞一团棉花
(3)C;不易溶于水且不与水反应
(4)将带火星的木条伸入集气瓶中,若木条复燃,则证明是氧气
(5)试管口未略向下倾斜(或加热时试管外壁有水珠、未预热、实验结束时先熄灭酒精灯后移出导管等)
(1)试管
(2)A;反应物为固体且需要加热;在试管口塞一团棉花
(3)C;不易溶于水且不与水反应
(4)将带火星的木条伸入集气瓶中,若木条复燃,则证明是氧气
(5)试管口未略向下倾斜(或加热时试管外壁有水珠、未预热、实验结束时先熄灭酒精灯后移出导管等)
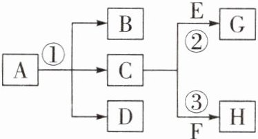
15. 有 A~H 八种目前所学过常见的物质,A 是一种暗紫色固体,G 是一种黑色固体,H 有刺激性气味,根据图示回答下列问题。

(1)A 表示的物质是
(2)C 的一种用途是
(3)反应②的文字表达式为
(4)图中所示的三个反应中反应条件相同的是
(1)A 表示的物质是
高锰酸钾
。(2)C 的一种用途是
供给呼吸(或支持燃烧等合理答案)
。(3)反应②的文字表达式为
碳+氧气$\xrightarrow{\text{点燃}}$二氧化碳(或铁+氧气$\xrightarrow{\text{点燃}}$四氧化三铁等合理答案)
。(4)图中所示的三个反应中反应条件相同的是
②③
。
答案:
(1)高锰酸钾
(2)供给呼吸(或支持燃烧等合理答案)
(3)碳+氧气$\xrightarrow{\text{点燃}}$二氧化碳(或铁+氧气$\xrightarrow{\text{点燃}}$四氧化三铁等合理答案)
(4)②③
(1)高锰酸钾
(2)供给呼吸(或支持燃烧等合理答案)
(3)碳+氧气$\xrightarrow{\text{点燃}}$二氧化碳(或铁+氧气$\xrightarrow{\text{点燃}}$四氧化三铁等合理答案)
(4)②③
查看更多完整答案,请扫码查看