第59页
- 第2页
- 第3页
- 第4页
- 第5页
- 第6页
- 第7页
- 第8页
- 第9页
- 第10页
- 第11页
- 第12页
- 第13页
- 第14页
- 第15页
- 第16页
- 第17页
- 第18页
- 第19页
- 第20页
- 第21页
- 第22页
- 第23页
- 第24页
- 第25页
- 第26页
- 第27页
- 第28页
- 第29页
- 第30页
- 第31页
- 第32页
- 第33页
- 第34页
- 第35页
- 第36页
- 第37页
- 第38页
- 第39页
- 第40页
- 第41页
- 第42页
- 第43页
- 第44页
- 第45页
- 第46页
- 第47页
- 第48页
- 第49页
- 第50页
- 第51页
- 第52页
- 第53页
- 第54页
- 第55页
- 第56页
- 第57页
- 第58页
- 第59页
- 第60页
- 第61页
- 第62页
- 第63页
- 第64页
- 第65页
- 第66页
- 第67页
- 第68页
- 第69页
- 第70页
- 第71页
- 第72页
- 第73页
- 第74页
- 第75页
- 第76页
- 第77页
- 第78页
- 第79页
- 第80页
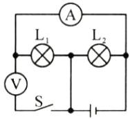
9. (2024·安阳殷都区期末)如图所示,请在电路图中的“〇”内填上适当的电表符号,使开关 $ S $ 闭合时两电灯都能发光。

答案:
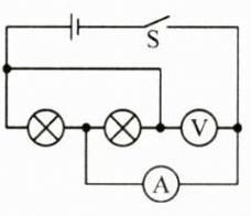
10. (2024·许昌禹州市期中)如图所示,请在“〇”中填上字母 A 或 V 表示电流表或电压表,使电路能正常工作。

答案:
11. 如图甲所示电路,电源电压为 12 V,当 $ S $ 闭合时,电压表的读数如图乙所示,则 $ L_2 $ 两端的电压为 V;当 $ S $ 由闭合改为断开时,电压表示数将(填“变大”“变小”或“不变”)。

答案:
4.5 变大
12. 如图所示电路中,电源电压为 3 V 且不变,只闭合开关 $ S $ 时,电流表示数为 0.3 A;当同时闭合开关 $ S $、$ S_1 $ 时,电流表的示数将

变大
(填“变大”“变小”或“不变”),此时电压表示数为3
V,通过灯泡 $ L_1 $ 的电流为0.3
A。
答案:
变大 3 0.3
13. 如图所示的电路中,电源电压为 5 V。开关 $ S_1 $ 闭合、$ S_2 $ 断开时,电压表的示数是

0
V;同时闭合开关 $ S_1 $、$ S_2 $ 时,电流表的示数是 0.3 A,则通过 $ R_1 $ 的电流是0.3
A,$ R_2 $ 两端的电压是5
V。
答案:
0 0.3 5
14. (2024·陕西)如图,电源电压不变。闭合开关 $ S_1 $ 和 $ S_2 $,小灯泡 $ L_1 $ 和 $ L_2 $ 均正常发光,电流表有示数。下列分析正确的是 (

A.小灯泡 $ L_1 $ 和 $ L_2 $ 串联
B.若断开开关 $ S_2 $,电流表示数会变小
C.若小灯泡 $ L_1 $ 比 $ L_2 $ 亮,原因是 $ L_1 $ 两端的电压比 $ L_2 $ 两端的电压大
D.若只闭合开关 $ S_2 $,电路中只有小灯泡 $ L_2 $ 发光
B
)A.小灯泡 $ L_1 $ 和 $ L_2 $ 串联
B.若断开开关 $ S_2 $,电流表示数会变小
C.若小灯泡 $ L_1 $ 比 $ L_2 $ 亮,原因是 $ L_1 $ 两端的电压比 $ L_2 $ 两端的电压大
D.若只闭合开关 $ S_2 $,电路中只有小灯泡 $ L_2 $ 发光
答案:
B
15. (双选)如图所示,电源电压不变,闭合开关 $ S $,两灯均发光,电压表 $ V_1 $ 的示数为 6 V,电压表 $ V_2 $ 的示数为 2 V。下列说法中正确的是 (

A.电源两端电压为 4 V
B.$ L_1 $ 两端电压为 4 V
C.断开开关,只将电压表 $ V_2 $ 换成电流表,则 $ L_1 $ 与 $ L_2 $ 可以实现并联
D.断开开关,将两个电压表都换成电流表,则 $ L_1 $ 与 $ L_2 $ 可以实现并联
BD
)A.电源两端电压为 4 V
B.$ L_1 $ 两端电压为 4 V
C.断开开关,只将电压表 $ V_2 $ 换成电流表,则 $ L_1 $ 与 $ L_2 $ 可以实现并联
D.断开开关,将两个电压表都换成电流表,则 $ L_1 $ 与 $ L_2 $ 可以实现并联
答案:
BD
查看更多完整答案,请扫码查看