2025年暑假乐园辽宁师范大学出版社八年级理科版
注:目前有些书本章节名称可能整理的还不是很完善,但都是按照顺序排列的,请同学们按照顺序仔细查找。练习册 2025年暑假乐园辽宁师范大学出版社八年级理科版 答案主要是用来给同学们做完题方便对答案用的,请勿直接抄袭。
第5页
- 第1页
- 第2页
- 第3页
- 第4页
- 第5页
- 第6页
- 第7页
- 第8页
- 第9页
- 第10页
- 第11页
- 第12页
- 第13页
- 第14页
- 第15页
- 第16页
- 第17页
- 第18页
- 第19页
- 第20页
- 第21页
- 第22页
- 第23页
- 第24页
- 第25页
- 第26页
- 第27页
- 第28页
- 第29页
- 第30页
- 第31页
- 第32页
- 第33页
- 第34页
- 第35页
- 第36页
- 第37页
- 第38页
- 第39页
- 第40页
- 第41页
- 第42页
- 第43页
- 第44页
- 第45页
- 第46页
- 第47页
- 第48页
- 第49页
- 第50页
- 第51页
- 第52页
- 第53页
- 第54页
- 第55页
- 第56页
- 第57页
- 第58页
- 第59页
- 第60页
- 第61页
- 第62页
- 第63页
- 第64页
- 第65页
- 第66页
- 第67页
- 第68页
- 第69页
- 第70页
- 第71页
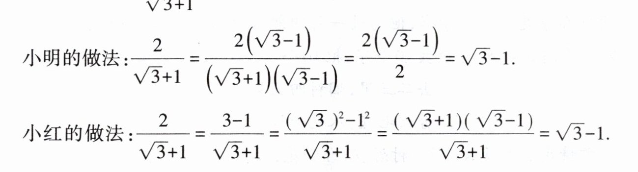
21. 【问题初探】
(1) 在数学活动课上, 老师提出如下问题:
如何将代数式 $\frac{2}{\sqrt{3} + 1}$ 变形, 使该代数式分母中不含根号?
小明的做法: $\frac{2}{\sqrt{3} + 1} = \frac{2(\sqrt{3} - 1)}{(\sqrt{3} + 1)(\sqrt{3} - 1)} = \frac{2(\sqrt{3} - 1)}{2} = \sqrt{3} - 1$.
小红的做法: $\frac{2}{\sqrt{3} + 1} = \frac{3 - 1}{\sqrt{3} + 1} = \frac{(\sqrt{3})^{2} - 1^{2}}{\sqrt{3} + 1} = \frac{(\sqrt{3} + 1)(\sqrt{3} - 1)}{\sqrt{3} + 1} = \sqrt{3} - 1$.
老师对这两名同学的做法均给予了肯定, 并告诉同学们, 像这样, 把分母中的根号化去的步骤称为“分母有理化”.
请你从上面两名同学的方法中选择一种, 将式子 $\frac{2}{\sqrt{5} + \sqrt{3}}$ 分母有理化.
【类比分析】
(2) “乐思” 活动小组的同学对老师提出的问题进一步探索并提出了下面新的问题, 请你解答.
已知: $x = \frac{\sqrt{5} - 2}{\sqrt{5} + 2},y = \frac{\sqrt{5} + 2}{\sqrt{5} - 2}$, 求 $x^{2} - y^{2}$ 的值.
【学以致用】
(3) 已知 $\frac{1}{1 + \sqrt{3}} + \frac{1}{\sqrt{3} + \sqrt{5}} + \frac{1}{\sqrt{5} + \sqrt{7}} + \cdots + \frac{1}{\sqrt{n} + \sqrt{n + 2}} = 13$, 请求出 $n$ 的值.

(1) 在数学活动课上, 老师提出如下问题:
如何将代数式 $\frac{2}{\sqrt{3} + 1}$ 变形, 使该代数式分母中不含根号?
小明的做法: $\frac{2}{\sqrt{3} + 1} = \frac{2(\sqrt{3} - 1)}{(\sqrt{3} + 1)(\sqrt{3} - 1)} = \frac{2(\sqrt{3} - 1)}{2} = \sqrt{3} - 1$.
小红的做法: $\frac{2}{\sqrt{3} + 1} = \frac{3 - 1}{\sqrt{3} + 1} = \frac{(\sqrt{3})^{2} - 1^{2}}{\sqrt{3} + 1} = \frac{(\sqrt{3} + 1)(\sqrt{3} - 1)}{\sqrt{3} + 1} = \sqrt{3} - 1$.
老师对这两名同学的做法均给予了肯定, 并告诉同学们, 像这样, 把分母中的根号化去的步骤称为“分母有理化”.
请你从上面两名同学的方法中选择一种, 将式子 $\frac{2}{\sqrt{5} + \sqrt{3}}$ 分母有理化.
$\frac{2}{\sqrt{5} + \sqrt{3}} = \frac{2(\sqrt{5} - \sqrt{3})}{(\sqrt{5} + \sqrt{3})(\sqrt{5} - \sqrt{3})} = \frac{2(\sqrt{5} - \sqrt{3})}{2} = \sqrt{5} - \sqrt{3}$
【类比分析】
(2) “乐思” 活动小组的同学对老师提出的问题进一步探索并提出了下面新的问题, 请你解答.
已知: $x = \frac{\sqrt{5} - 2}{\sqrt{5} + 2},y = \frac{\sqrt{5} + 2}{\sqrt{5} - 2}$, 求 $x^{2} - y^{2}$ 的值.
$x = \frac{\sqrt{5} - 2}{\sqrt{5} + 2} = \frac{(\sqrt{5} - 2)^2}{(\sqrt{5} + 2)(\sqrt{5} - 2)} = 9 - 4\sqrt{5}$,$y = \frac{\sqrt{5} + 2}{\sqrt{5} - 2} = \frac{(\sqrt{5} + 2)^2}{(\sqrt{5} - 2)(\sqrt{5} + 2)} = 9 + 4\sqrt{5}$。$\therefore x^2 - y^2 = (x + y)(x - y) = (9 - 4\sqrt{5} + 9 + 4\sqrt{5})(9 - 4\sqrt{5} - 9 - 4\sqrt{5}) = 18 × (-8\sqrt{5}) = -144\sqrt{5}$
【学以致用】
(3) 已知 $\frac{1}{1 + \sqrt{3}} + \frac{1}{\sqrt{3} + \sqrt{5}} + \frac{1}{\sqrt{5} + \sqrt{7}} + \cdots + \frac{1}{\sqrt{n} + \sqrt{n + 2}} = 13$, 请求出 $n$ 的值.
$\because \frac{1}{\sqrt{3} + 1} + \frac{1}{\sqrt{5} + \sqrt{3}} + \frac{1}{\sqrt{7} + \sqrt{5}} + \cdots + \frac{1}{\sqrt{n + 2} + \sqrt{n}} = 13$,$\therefore \frac{1}{2}(\sqrt{3} - 1 + \sqrt{5} - \sqrt{3} + \sqrt{7} - \sqrt{5} + \cdots + \sqrt{n + 2} - \sqrt{n}) = 13$。$\therefore \sqrt{n + 2} = 27$,$\therefore n = 727$
答案:
(1) $\frac{2}{\sqrt{5} + \sqrt{3}} = \frac{2(\sqrt{5} - \sqrt{3})}{(\sqrt{5} + \sqrt{3})(\sqrt{5} - \sqrt{3})} = \frac{2(\sqrt{5} - \sqrt{3})}{2} = \sqrt{5} - \sqrt{3}$。
(2) $x = \frac{\sqrt{5} - 2}{\sqrt{5} + 2} = \frac{(\sqrt{5} - 2)^2}{(\sqrt{5} + 2)(\sqrt{5} - 2)} = 9 - 4\sqrt{5}$,$y = \frac{\sqrt{5} + 2}{\sqrt{5} - 2} = \frac{(\sqrt{5} + 2)^2}{(\sqrt{5} - 2)(\sqrt{5} + 2)} = 9 + 4\sqrt{5}$。$\therefore x^2 - y^2 = (x + y)(x - y) = (9 - 4\sqrt{5} + 9 + 4\sqrt{5})(9 - 4\sqrt{5} - 9 - 4\sqrt{5}) = 18 × (-8\sqrt{5}) = -144\sqrt{5}$。
(3) $\because \frac{1}{\sqrt{3} + 1} + \frac{1}{\sqrt{5} + \sqrt{3}} + \frac{1}{\sqrt{7} + \sqrt{5}} + \cdots + \frac{1}{\sqrt{n + 2} + \sqrt{n}} = 13$,$\therefore \frac{1}{2}(\sqrt{3} - 1 + \sqrt{5} - \sqrt{3} + \sqrt{7} - \sqrt{5} + \cdots + \sqrt{n + 2} - \sqrt{n}) = 13$。$\therefore \sqrt{n + 2} = 27$,$\therefore n = 727$。
(1) $\frac{2}{\sqrt{5} + \sqrt{3}} = \frac{2(\sqrt{5} - \sqrt{3})}{(\sqrt{5} + \sqrt{3})(\sqrt{5} - \sqrt{3})} = \frac{2(\sqrt{5} - \sqrt{3})}{2} = \sqrt{5} - \sqrt{3}$。
(2) $x = \frac{\sqrt{5} - 2}{\sqrt{5} + 2} = \frac{(\sqrt{5} - 2)^2}{(\sqrt{5} + 2)(\sqrt{5} - 2)} = 9 - 4\sqrt{5}$,$y = \frac{\sqrt{5} + 2}{\sqrt{5} - 2} = \frac{(\sqrt{5} + 2)^2}{(\sqrt{5} - 2)(\sqrt{5} + 2)} = 9 + 4\sqrt{5}$。$\therefore x^2 - y^2 = (x + y)(x - y) = (9 - 4\sqrt{5} + 9 + 4\sqrt{5})(9 - 4\sqrt{5} - 9 - 4\sqrt{5}) = 18 × (-8\sqrt{5}) = -144\sqrt{5}$。
(3) $\because \frac{1}{\sqrt{3} + 1} + \frac{1}{\sqrt{5} + \sqrt{3}} + \frac{1}{\sqrt{7} + \sqrt{5}} + \cdots + \frac{1}{\sqrt{n + 2} + \sqrt{n}} = 13$,$\therefore \frac{1}{2}(\sqrt{3} - 1 + \sqrt{5} - \sqrt{3} + \sqrt{7} - \sqrt{5} + \cdots + \sqrt{n + 2} - \sqrt{n}) = 13$。$\therefore \sqrt{n + 2} = 27$,$\therefore n = 727$。
查看更多完整答案,请扫码查看