2025年赢在起跑线中学生快乐暑假八年级数学人教版河北少年儿童出版社
注:目前有些书本章节名称可能整理的还不是很完善,但都是按照顺序排列的,请同学们按照顺序仔细查找。练习册 2025年赢在起跑线中学生快乐暑假八年级数学人教版河北少年儿童出版社 答案主要是用来给同学们做完题方便对答案用的,请勿直接抄袭。
3. 等腰三角形的周长是$40\mathrm{cm}$,腰长$y(\mathrm{cm})$关于底边长$x(\mathrm{cm})$的函数解析式正确的是 ………………………………………………………………………………………(
A. $y = -0.5x + 20(0 < x < 20)$
B. $y = -0.5x + 20(10 < x < 20)$
C. $y = -2x + 40(10 < x < 20)$
D. $y = -2x + 40(0 < x < 20)$
A
)A. $y = -0.5x + 20(0 < x < 20)$
B. $y = -0.5x + 20(10 < x < 20)$
C. $y = -2x + 40(10 < x < 20)$
D. $y = -2x + 40(0 < x < 20)$
答案:
A
4. 若一次函数$y = kx + b$,当$x = -2$时,$y = 7$;当$x = 1$时,$y = -11$,则$k$,$b$的值为 ……(
A. $k = 6$,$b = 5$
B. $k = -1$,$b = -5$
C. $k = -6$,$b = -5$
D. $k = 1$,$b = 5$
C
)A. $k = 6$,$b = 5$
B. $k = -1$,$b = -5$
C. $k = -6$,$b = -5$
D. $k = 1$,$b = 5$
答案:
C
5. 已知一次函数$y = kx - m - 2x$的图象与$y$轴的负半轴相交,且函数值$y$随自变量$x$的增大而减小,则下列结论正确的是 …………………………………………………(
A. $k < 2$,$m > 0$
B. $k < 2$,$m < 0$
C. $k > 2$,$m > 0$
D. $k < 0$,$m < 0$
A
)A. $k < 2$,$m > 0$
B. $k < 2$,$m < 0$
C. $k > 2$,$m > 0$
D. $k < 0$,$m < 0$
答案:
A
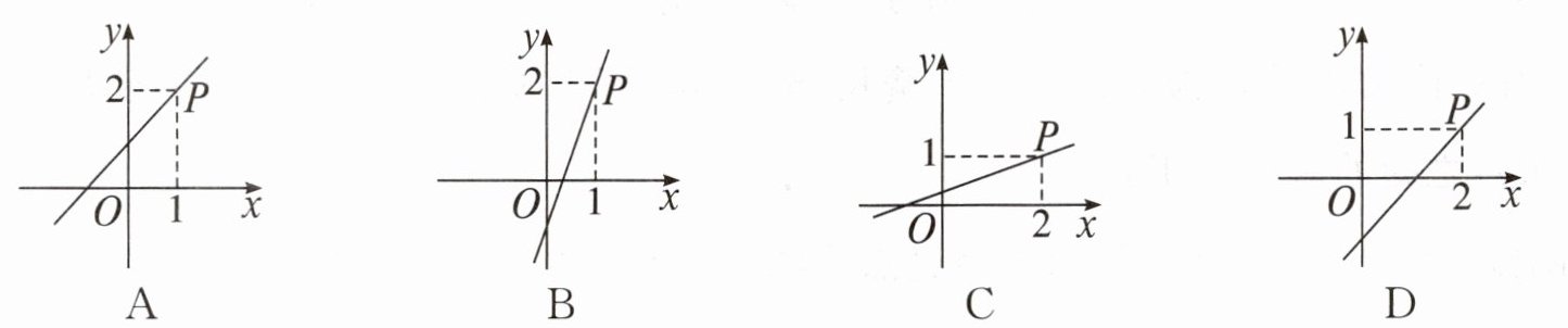
6. 在平面直角坐标系中,已知函数$y = ax + a(a \neq 0)$的图象过点$P(1,2)$,则该函数的图象可能是 ………………………………………………………………………………………(

A
)
答案:
A
7. 一次函数$y = kx + b$的图象经过点$A(2,3)$,每当$x$增加$1$个单位长度时,$y$增加$3$个单位长度,则此函数解析式是 ……………………………………………………………(
A. $y = x + 3$
B. $y = 2x - 3$
C. $y = 3x - 3$
D. $y = 4x - 4$
C
)A. $y = x + 3$
B. $y = 2x - 3$
C. $y = 3x - 3$
D. $y = 4x - 4$
答案:
C
8. 某品牌鞋子的长度$y\mathrm{cm}$与鞋子的“码”数$x$之间满足一次函数关系. 若$22$码鞋子的长度为$16\mathrm{cm}$,$44$码鞋子的长度为$27\mathrm{cm}$,则$38$码鞋子的长度为 ……………………(
A. $23\mathrm{cm}$
B. $24\mathrm{cm}$
C. $25\mathrm{cm}$
D. $26\mathrm{cm}$
B
)A. $23\mathrm{cm}$
B. $24\mathrm{cm}$
C. $25\mathrm{cm}$
D. $26\mathrm{cm}$
答案:
B
9. 如图,直线$l_1:y = \frac{3}{2}x + 6$与直线$l_2:y = -\frac{5}{2}x - 2$交于点$P(-2,3)$,不等式$\frac{3}{2}x + 6 > -\frac{5}{2}x - 2$的解集是 …………………………………………………(

A. $x > -2$
B. $x \geq -2$
C. $x < -2$
D. $x \leq -2$
A
)A. $x > -2$
B. $x \geq -2$
C. $x < -2$
D. $x \leq -2$
答案:
A
10. 如图,已知一次函数$y = kx + b$的图象与$x$轴、$y$轴分别交于点$(2,0)$,点$(0,3)$. 有下列结论,其中正确的是 ………………………………………………………………(
①关于$x$的方程$kx + b = 0$的解为$x = 2$;②关于$x$的方程$kx + b = 3$的解为$x = 0$;③当$x > 2$时,$y < 0$;④当$x < 0$时,$y < 3$.

A. ①②③
B. ①③④
C. ②③④
D. ①②④
A
)①关于$x$的方程$kx + b = 0$的解为$x = 2$;②关于$x$的方程$kx + b = 3$的解为$x = 0$;③当$x > 2$时,$y < 0$;④当$x < 0$时,$y < 3$.
A. ①②③
B. ①③④
C. ②③④
D. ①②④
答案:
A
查看更多完整答案,请扫码查看