1. 在式子$-3<0,x>2,x= a,x^{2}-2x,x≠3,x+1>y$中,是不等式的有(
A.2个
B.3个
C.4个
D.5个
C
)A.2个
B.3个
C.4个
D.5个
答案:
C
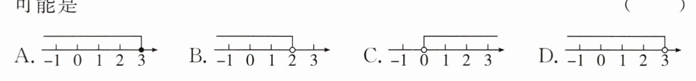
2. 若一个不等式的正整数解只有1,2,则该不等式的解集在数轴上的表示可能是(

A.
B.
C.
D.
D
)A.
B.
C.
D.
答案:
D
3. 已知关于x的不等式$2<(1-a)x的解集为x<\frac {2}{1-a}$,则a的取值范围是(
A.$a>1$
B.$a>0$
C.$a<0$
D.$a<1$
A
)A.$a>1$
B.$a>0$
C.$a<0$
D.$a<1$
答案:
A
4. 不等式$\frac {x-9}{2}+1<\frac {3x-2}{2}$的负整数解有(
A.1个
B.2个
C.3个
D.4个
B
)A.1个
B.2个
C.3个
D.4个
答案:
B
5. 定义新运算“$\otimes$”,规定:$a\otimes b= a-2b$.若关于x的不等式$x\otimes m>3的解集为x>-1$,则$m= $
A.-1
B.-2
C.1
D.2
B
A.-1
B.-2
C.1
D.2
答案:
B
6. 为响应政府号召,某单位需要购买分类垃圾桶6个,市场上有A型和B型两种分类垃圾桶,A型分类垃圾桶500元/个,B型分类垃圾桶550元/个,总费用不超过3100元,则不同的购买方式有(
A.2种
B.3种
C.4种
D.5种
B
)A.2种
B.3种
C.4种
D.5种
答案:
B
7. 已知关于x的不等式$2x-m>-5$的解集如图所示,则m的值为
1
.
答案:
1
查看更多完整答案,请扫码查看