2024年绿色通道45分钟课时作业与单元测评数学选择性必修第二册
注:目前有些书本章节名称可能整理的还不是很完善,但都是按照顺序排列的,请同学们按照顺序仔细查找。练习册 2024年绿色通道45分钟课时作业与单元测评数学选择性必修第二册 答案主要是用来给同学们做完题方便对答案用的,请勿直接抄袭。
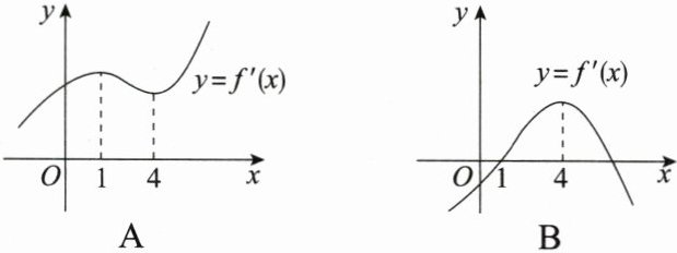
1. 设函数$f(x)$的图象如图所示,则导函数$f'(x)$的图象可能为( )



答案:
1.C 因为f(x)在(一co,1),(4,十oo)上是减函数,在(1,4)上是增函数,所以当x<1或x>4时,f'(x)<0;当1<x<4时,f'(x)>0.故选C.
2. 函数$f(x)=-x^{3}+x$在$(1,+\infty)$内为( )
A. 减函数
B. 增函数
C. 常数函数
D. 不能确定
A. 减函数
B. 增函数
C. 常数函数
D. 不能确定
答案:
2.A 当x∈(1,+oo)时,f'(x)=−3x²+1<0,故f(x)在(1,十oo)内为减函数.
3. 函数$f(x)=x^{2}+\ln x$( )
A. 在$(0,+\infty)$上单调递增
B. 在$(0,+\infty)$上单调递减
C. 在$(0,1)$上单调递减,在$(1,+\infty)$上单调递增
D. 在$(0,1)$上单调递增,在$(1,+\infty)$上单调递减
A. 在$(0,+\infty)$上单调递增
B. 在$(0,+\infty)$上单调递减
C. 在$(0,1)$上单调递减,在$(1,+\infty)$上单调递增
D. 在$(0,1)$上单调递增,在$(1,+\infty)$上单调递减
答案:
3.Af'(x)=2x+$\frac{1}{x}$(x>0),因为当x>0时,f'(x)>0 恒成立,所以f(x)在(0,十oo)上单调递增,故选A.
4. 函数$f(x)=3+x\ln x$的单调递增区间是( )
A. $(0,\frac{1}{\mathrm{e}})$
B. $(\mathrm{e},+\infty)$
C. $(\frac{1}{\mathrm{e}},+\infty)$
D. $(\frac{1}{\mathrm{e}},\mathrm{e})$
A. $(0,\frac{1}{\mathrm{e}})$
B. $(\mathrm{e},+\infty)$
C. $(\frac{1}{\mathrm{e}},+\infty)$
D. $(\frac{1}{\mathrm{e}},\mathrm{e})$
答案:
4.Cf'(x)=1nx+1(x>0),令f′(x)>0,即1nx+1>0,得x>$\frac{1}{e}$,故函数f(x)的单调递增区间为($\frac{1}{e}$,+∞).故选C.
5. 下列函数中,在$(0,+\infty)$上单调递增的是( )
A. $y = \sin x$
B. $y = x\mathrm{e}^{x}$
C. $y = x^{3}-x$
D. $y = \ln x - x$
A. $y = \sin x$
B. $y = x\mathrm{e}^{x}$
C. $y = x^{3}-x$
D. $y = \ln x - x$
答案:
5.BA中,y'=cosx,当x>0时,y'的符号不确定;B中,y=e²+xe²=(x+1)e²,当x>0时,y'>0,故在(0,+∞o)上单调递增;C中,y'=3x²−1,当x>0时,y'>−1,单调性不确定;D中,y'=$\frac{1}{x}$−1,当x>0时,y,>−1,单调性不确定.故选B.
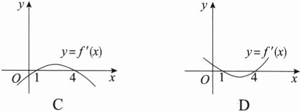
6.(多选)如图所示是函数$y = f(x)$的导函数$f'(x)$的图象,则下列判断正确的是( )

A. $f(x)$在$(-2,1)$上单调递增
B. $f(x)$在$(1,2)$上单调递增
C. $f(x)$在$(4,5)$上单调递增
D. $f(x)$在$(-3,-2)$上单调递增
A. $f(x)$在$(-2,1)$上单调递增
B. $f(x)$在$(1,2)$上单调递增
C. $f(x)$在$(4,5)$上单调递增
D. $f(x)$在$(-3,-2)$上单调递增
答案:
6.BC 由题图知当x∈(−1,2)U(4,5)时,f'(x)>0,所以在(−1,2),(4,5)上,f(x)单调递增,故A错误,B、C 正确;当x∈(−3,−2)时,∮'(x)<0,所以在(−3,−2)上,f(x)单调递减,故D错误,
7. 已知$f(x)$在$\mathbf{R}$上是可导函数,$f(x)$的图象如图所示,则不等式$f'(x)>0$的解集为______

答案:
7.(−∞0,−1)U(1,+∞)解析 由f(x)的图象知,函数f(x)在(一oo,−1)上单调递增,在(−1,1)上单调递减,在(1,+oo)上单调递增,所以f'(x)>0的解集为(−∞∞,−1)U(1,+∞∞).
8. 函数$f(x)=x + 2\cos x$,$x\in(0,\pi)$的单调递减区间是______.
答案:
8.($\frac{π}{6}$,))解析 由f'(x)=1−2sinx<0,得sinx>$\frac{1}{2}$,又x∈(0,,π),所以x∈($\frac{π}{6}$).
9. 证明:函数$f(x)=x+\frac{4}{x}$在$(0,2)$上单调递减,在$(2,+\infty)$上单调递增.
答案:
9.证明 因为f'(x)=1−$\frac{4}{x²}$,当x∈(0,2)时,0<x²<4,所以1−$\frac{4}{x²}$<0,所以f(x)在(0,2)上单调递减;当x∈(2,+∞0)时,x²>4,所以1−$\frac{4}{x²}$>0,所以f(x)在(2,+∞o)上单调递增.
查看更多完整答案,请扫码查看