2024年新编高中同步作业高中物理选择性必修第一册人教版
注:目前有些书本章节名称可能整理的还不是很完善,但都是按照顺序排列的,请同学们按照顺序仔细查找。练习册 2024年新编高中同步作业高中物理选择性必修第一册人教版 答案主要是用来给同学们做完题方便对答案用的,请勿直接抄袭。
第92页
- 第1页
- 第2页
- 第3页
- 第4页
- 第5页
- 第6页
- 第7页
- 第8页
- 第9页
- 第10页
- 第11页
- 第12页
- 第13页
- 第14页
- 第15页
- 第16页
- 第17页
- 第18页
- 第19页
- 第20页
- 第21页
- 第22页
- 第23页
- 第24页
- 第25页
- 第26页
- 第27页
- 第28页
- 第29页
- 第30页
- 第31页
- 第32页
- 第33页
- 第34页
- 第35页
- 第36页
- 第37页
- 第38页
- 第39页
- 第40页
- 第41页
- 第42页
- 第43页
- 第44页
- 第45页
- 第46页
- 第47页
- 第48页
- 第49页
- 第50页
- 第51页
- 第52页
- 第53页
- 第54页
- 第55页
- 第56页
- 第57页
- 第58页
- 第59页
- 第60页
- 第61页
- 第62页
- 第63页
- 第64页
- 第65页
- 第66页
- 第67页
- 第68页
- 第69页
- 第70页
- 第71页
- 第72页
- 第73页
- 第74页
- 第75页
- 第76页
- 第77页
- 第78页
- 第79页
- 第80页
- 第81页
- 第82页
- 第83页
- 第84页
- 第85页
- 第86页
- 第87页
- 第88页
- 第89页
- 第90页
- 第91页
- 第92页
- 第93页
3. 一赛艇停在平静的水面上,赛艇前端有一标记P离水面的高度为$h_1 = 0.6$ m,尾部下端Q略高于水面;赛艇正前方离赛艇前端$s_1 = 0.8$ m处有一浮标,如图所示。一潜水员在浮标前方$s_2 = 3.0$ m处下潜到深度为$h_2 = 4.0$ m时,看到标记P刚好被浮标挡住,此处看不见船尾端Q;继续下潜$\Delta h = 4.0$ m,恰好能看见Q。求:
(1)水的折射率n;
(2)赛艇的长度l。(可用根式表示)

(1)水的折射率n;
(2)赛艇的长度l。(可用根式表示)
答案:
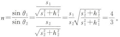
解析:(1)作光路图如图甲所示。
$n = \frac{\sin\theta_1}{\sin\theta_2} = \frac{\frac{s_1}{\sqrt{s_1^2 + h_1^2}}}{\frac{s_2}{\sqrt{s_2^2 + h_2^2}}} = \frac{s_1}{s_2}\sqrt{\frac{s_2^2 + h_2^2}{s_1^2 + h_1^2}} = \frac{4}{3}$。
(2)刚好看到Q点时的光路图如图乙所示。
$x = s_1 + s_2 + l$,$y = h_2 + \Delta h$
$\sin C = \frac{x}{\sqrt{x^2 + y^2}}$,$n = \frac{1}{\sin C}$
联立以上方程解得$l = (\frac{24\sqrt{7}}{7} - \frac{19}{5})m$。
答案:(1)$\frac{4}{3}$ (2)$(\frac{24\sqrt{7}}{7} - \frac{19}{5})m$
解析:(1)作光路图如图甲所示。
$n = \frac{\sin\theta_1}{\sin\theta_2} = \frac{\frac{s_1}{\sqrt{s_1^2 + h_1^2}}}{\frac{s_2}{\sqrt{s_2^2 + h_2^2}}} = \frac{s_1}{s_2}\sqrt{\frac{s_2^2 + h_2^2}{s_1^2 + h_1^2}} = \frac{4}{3}$。
(2)刚好看到Q点时的光路图如图乙所示。
$x = s_1 + s_2 + l$,$y = h_2 + \Delta h$
$\sin C = \frac{x}{\sqrt{x^2 + y^2}}$,$n = \frac{1}{\sin C}$
联立以上方程解得$l = (\frac{24\sqrt{7}}{7} - \frac{19}{5})m$。
答案:(1)$\frac{4}{3}$ (2)$(\frac{24\sqrt{7}}{7} - \frac{19}{5})m$
4. 如图所示,直角三棱镜ABC的斜边AB长为l,∠C = 90°,∠A = θ(未知),一束单色光从斜边上某点(非中点)垂直入射到棱镜中,已知棱镜的折射率n = 2,单色光在真空中的传播速度为c。
(1)求θ在什么范围内,入射光能够经过两次全反射又从斜边射出;
(2)若θ = 45°,该单色光从斜边某处垂直入射到三棱镜中,通过三棱镜后出射光与入射光的距离为$\frac{l}{4}$,求此单色光通过三棱镜的时间。

(1)求θ在什么范围内,入射光能够经过两次全反射又从斜边射出;
(2)若θ = 45°,该单色光从斜边某处垂直入射到三棱镜中,通过三棱镜后出射光与入射光的距离为$\frac{l}{4}$,求此单色光通过三棱镜的时间。
答案:
解析:(1)光的传播方向
如图所示,欲使入射光在左侧直角边发生全反射,须满足
$\sin\theta \geq \frac{1}{n}$
解得$\theta \geq 30^{\circ}$
光在反射至右侧直角边时,入射角为$90^{\circ} - \theta$,欲使入射光在该边发生全反射,须满足$\sin(90^{\circ} - \theta) \geq \frac{1}{n}$
解得$\theta \leq 60^{\circ}$
所以$\theta$的范围为$30^{\circ} \leq \theta \leq 60^{\circ}$。
(2)当$\theta = 45^{\circ}$时,由几何关系可知光在三棱镜中通过的路程$s = l$
光在三棱镜中的传播速度$v = \frac{c}{n}$
则此单色光通过三棱镜的时间$t = \frac{s}{v} = \frac{2l}{c}$。
答案:(1)$30^{\circ} \leq \theta \leq 60^{\circ}$ (2)$\frac{2l}{c}$
如图所示,欲使入射光在左侧直角边发生全反射,须满足
$\sin\theta \geq \frac{1}{n}$
解得$\theta \geq 30^{\circ}$
光在反射至右侧直角边时,入射角为$90^{\circ} - \theta$,欲使入射光在该边发生全反射,须满足$\sin(90^{\circ} - \theta) \geq \frac{1}{n}$
解得$\theta \leq 60^{\circ}$
所以$\theta$的范围为$30^{\circ} \leq \theta \leq 60^{\circ}$。
(2)当$\theta = 45^{\circ}$时,由几何关系可知光在三棱镜中通过的路程$s = l$
光在三棱镜中的传播速度$v = \frac{c}{n}$
则此单色光通过三棱镜的时间$t = \frac{s}{v} = \frac{2l}{c}$。
答案:(1)$30^{\circ} \leq \theta \leq 60^{\circ}$ (2)$\frac{2l}{c}$
查看更多完整答案,请扫码查看