2024年新编高中同步作业高中物理选择性必修第一册人教版
注:目前有些书本章节名称可能整理的还不是很完善,但都是按照顺序排列的,请同学们按照顺序仔细查找。练习册 2024年新编高中同步作业高中物理选择性必修第一册人教版 答案主要是用来给同学们做完题方便对答案用的,请勿直接抄袭。
第73页
- 第1页
- 第2页
- 第3页
- 第4页
- 第5页
- 第6页
- 第7页
- 第8页
- 第9页
- 第10页
- 第11页
- 第12页
- 第13页
- 第14页
- 第15页
- 第16页
- 第17页
- 第18页
- 第19页
- 第20页
- 第21页
- 第22页
- 第23页
- 第24页
- 第25页
- 第26页
- 第27页
- 第28页
- 第29页
- 第30页
- 第31页
- 第32页
- 第33页
- 第34页
- 第35页
- 第36页
- 第37页
- 第38页
- 第39页
- 第40页
- 第41页
- 第42页
- 第43页
- 第44页
- 第45页
- 第46页
- 第47页
- 第48页
- 第49页
- 第50页
- 第51页
- 第52页
- 第53页
- 第54页
- 第55页
- 第56页
- 第57页
- 第58页
- 第59页
- 第60页
- 第61页
- 第62页
- 第63页
- 第64页
- 第65页
- 第66页
- 第67页
- 第68页
- 第69页
- 第70页
- 第71页
- 第72页
- 第73页
- 第74页
- 第75页
- 第76页
- 第77页
- 第78页
- 第79页
- 第80页
- 第81页
- 第82页
- 第83页
- 第84页
- 第85页
- 第86页
- 第87页
- 第88页
- 第89页
- 第90页
- 第91页
- 第92页
- 第93页
4. 波的干涉是波特有的现象,能够发生干涉现象的一定是__________。
答案:
波
[微训练]
根据预习内容判断以下说法的正误。
1. 任意两列波都能产生稳定干涉现象。( )
2. 发生稳定干涉现象的两列波,它们的频率一定相同。( )
3. 发生干涉现象时,加强区的质点的位移始终最大。( )
4. 发生干涉现象时,减弱区的质点的位移始终为0。( )
根据预习内容判断以下说法的正误。
1. 任意两列波都能产生稳定干涉现象。( )
2. 发生稳定干涉现象的两列波,它们的频率一定相同。( )
3. 发生干涉现象时,加强区的质点的位移始终最大。( )
4. 发生干涉现象时,减弱区的质点的位移始终为0。( )
答案:
×
@@√
@@×
@@×
@@√
@@×
@@×
1. 两个不等幅的脉冲波在均匀介质中均以1.0 m/s的速率沿同一直线相向传播,$t = 0$时刻的波形如图所示,图中小方格的边长为0.1 m,则以下不同时刻,波形不正确的是( )

答案:
C 解析:当$t = 0.3\ s$时,由$x = vt = 0.3\ m$可知,两波正好相遇,出现题图A的波形,所以A正确;由波的叠加原理可知B、D正确,C错误。
2. 下列关于两列波相遇时叠加的说法,不正确的是( )
A. 相遇后振幅小的一列波将减弱,振幅大的一列波将加强
B. 相遇后两列波各自的波形和传播方向与相遇前完全相同
C. 在相遇区域,任一点的总位移等于两列波分别引起的位移的矢量和
D. 几个人在同一房间说话,相互之间都听得清楚,说明波在相遇时互不干扰
A. 相遇后振幅小的一列波将减弱,振幅大的一列波将加强
B. 相遇后两列波各自的波形和传播方向与相遇前完全相同
C. 在相遇区域,任一点的总位移等于两列波分别引起的位移的矢量和
D. 几个人在同一房间说话,相互之间都听得清楚,说明波在相遇时互不干扰
答案:
A 解析:两列波相遇后仍保持各自的运动特征,B、D正确;由波的叠加原理可知,C正确;两列波相遇时振动的加强和减弱与波的振幅大小无关,A错误。
3. 如图甲所示,两列振幅和波长相同而传播方向相反的波,在相遇的某一时刻(如图乙),两列波“消失”,之后介质中M、N两质点的运动方向将是( )

A. M、N都静止
B. M、N都向上
C. M向下,N向上
D. M向上,N向下
A. M、N都静止
B. M、N都向上
C. M向下,N向上
D. M向上,N向下
答案:
C 解析:由题图可知,两列波的波峰与波谷叠加,振动减弱,由于两波的振幅相等,所以题图乙所示的时刻两列波“消失”。根据波形平移法判断可知,向右传播的波单独引起M的运动方向向下,N的运动方向向上,向左传播的波单独引起M的运动方向向下,N的运动方向向上,根据叠加原理可知,此时M质点的运动方向向下,N质点的运动方向向上,故C正确,A、B、D错误。
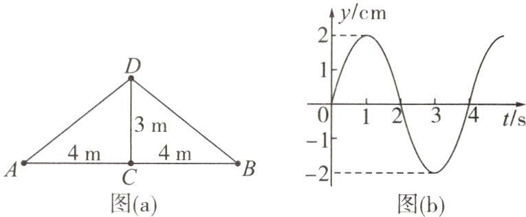
4.(2023·湖南卷)如图(a),在均匀介质中有A、B、C和D四点,其中A、B、C三点位于同一直线上,$AC = BC = 4\ m$,$DC = 3\ m$,DC垂直AB。$t = 0$时,位于A、B、C处的三个完全相同的横波波源同时开始振动,振动图像均如图(b)所示,振动方向与平面ABD垂直,已知波长为4 m,下列说法正确的是( )

A. 这三列波的波速均为2 m/s
B. $t = 2\ s$时,D处的质点开始振动
C. $t = 4.5\ s$时,D处的质点向y轴负方向运动
D. $t = 6\ s$时,D处的质点与平衡位置的距离是6 cm
A. 这三列波的波速均为2 m/s
B. $t = 2\ s$时,D处的质点开始振动
C. $t = 4.5\ s$时,D处的质点向y轴负方向运动
D. $t = 6\ s$时,D处的质点与平衡位置的距离是6 cm
答案:
C 解析:由题图(b)可知,振动的周期为4 s,故三列波的波速为$v=\frac{\lambda}{T}=1\ m/s$,A错误;由题图(a)可知,D点距离C处波源最近,开始振动后C处波源的横波传播到D处所需的时间为$t_C=\frac{DC}{v}=3\ s$,故$t = 2\ s$时,D处的质点还未开始振动,B错误;由几何关系可知$AD = BD = 5\ m$,波源A、B产生的横波传播到D处所需的时间为$t_{AB}=\frac{AD}{v}=\frac{5\ m}{1\ m/s}=5\ s$,故$t = 4.5\ s$时,仅C处波源的横波传播到D处,此时D处的质点振动的时间为$t_1=t - t_C = 1.5\ s$,由振动图像可知此时D处的质点向y轴负方向运动,C正确;$t = 6\ s$时,C处波源的横波传播到D处后振动时间为$t_2=t - t_C = 3\ s$,A、B处波源的横波传播到D处后振动时间为$t_3=t - t_{AB}=1\ s$,由振动图像可知,此时D处为C处波源传播横波的波谷且为A、B处波源传播横波的波峰,根据波的叠加原理可知,此时D处质点的位移为$y = 2A - A = 2\ cm$,D错误。
查看更多完整答案,请扫码查看