2024年新编高中同步作业高中物理选择性必修第一册人教版
注:目前有些书本章节名称可能整理的还不是很完善,但都是按照顺序排列的,请同学们按照顺序仔细查找。练习册 2024年新编高中同步作业高中物理选择性必修第一册人教版 答案主要是用来给同学们做完题方便对答案用的,请勿直接抄袭。
第81页
- 第1页
- 第2页
- 第3页
- 第4页
- 第5页
- 第6页
- 第7页
- 第8页
- 第9页
- 第10页
- 第11页
- 第12页
- 第13页
- 第14页
- 第15页
- 第16页
- 第17页
- 第18页
- 第19页
- 第20页
- 第21页
- 第22页
- 第23页
- 第24页
- 第25页
- 第26页
- 第27页
- 第28页
- 第29页
- 第30页
- 第31页
- 第32页
- 第33页
- 第34页
- 第35页
- 第36页
- 第37页
- 第38页
- 第39页
- 第40页
- 第41页
- 第42页
- 第43页
- 第44页
- 第45页
- 第46页
- 第47页
- 第48页
- 第49页
- 第50页
- 第51页
- 第52页
- 第53页
- 第54页
- 第55页
- 第56页
- 第57页
- 第58页
- 第59页
- 第60页
- 第61页
- 第62页
- 第63页
- 第64页
- 第65页
- 第66页
- 第67页
- 第68页
- 第69页
- 第70页
- 第71页
- 第72页
- 第73页
- 第74页
- 第75页
- 第76页
- 第77页
- 第78页
- 第79页
- 第80页
- 第81页
- 第82页
- 第83页
- 第84页
- 第85页
- 第86页
- 第87页
- 第88页
- 第89页
- 第90页
- 第91页
- 第92页
- 第93页
任务一 振动图像与波的图像的综合应用
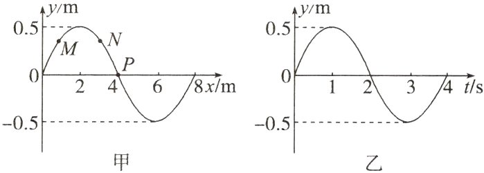
在舞蹈《碇步桥》的表演中,把32位演员当做一系列质点,相邻两人间隔1m,如图甲所示为在t = 2s时的队形图,M、N、P是三位演员重心的位置,M的平衡位置x = 1m,N的平衡位置x = 3m,P的平衡位置x = 4m;图乙为P点的演员的振动图像。

活动1 这列波的传播方向沿x轴正方向还是负方向?这列波的传播速度大小为多少?
活动2 从t = 2s时起,M点的演员和N点的演员谁先回到平衡位置?
活动3 从t = 2s到t = 3s,M点的演员通过的路程为多少?
在舞蹈《碇步桥》的表演中,把32位演员当做一系列质点,相邻两人间隔1m,如图甲所示为在t = 2s时的队形图,M、N、P是三位演员重心的位置,M的平衡位置x = 1m,N的平衡位置x = 3m,P的平衡位置x = 4m;图乙为P点的演员的振动图像。
活动1 这列波的传播方向沿x轴正方向还是负方向?这列波的传播速度大小为多少?
活动2 从t = 2s时起,M点的演员和N点的演员谁先回到平衡位置?
活动3 从t = 2s到t = 3s,M点的演员通过的路程为多少?
答案:
活动1 提示:由题图乙可知P点的演员在t = 2 s时刻向下振动,结合题图甲由上下坡法可知,这列波的传播方向沿x轴负方向;由图像可得,波速为$v=\frac{\lambda}{T}=\frac{8}{4}\text{ m/s}=2\text{ m/s}$。
活动2 提示:由题图甲可知,从t = 2 s时起,M点的演员先向上振动到波峰再向下振动回平衡位置,则回到平衡位置的时间大于$\frac{1}{4}$周期,而N点的演员从图示位置向下振动回平衡位置,则回到平衡位置的时间小于$\frac{1}{4}$周期,即N点的演员先回到平衡位置。
活动3 提示:P点的演员的振动函数为$y = 0.5\sin(\frac{\pi}{2}t)\text{ m}$,M点的演员的振动与P点的振动有$\frac{3}{4}\pi$的相位差,故由图甲可知M点的演员在t = 2 s时的位移为$y_1 = 0.5\sin(\frac{\pi}{2}\times2\text{ s}-\frac{3}{4}\pi)$,经$\Delta t = 1\text{ s}$,波传播的距离$\Delta x = v\Delta t = 2\text{ m}$,可知M点的演员在t = 3 s时的位移为$y_2 = 0.5\sin(\frac{\pi}{2}\times3\text{ s}-\frac{3}{4}\pi)=\frac{\sqrt{2}}{4}\text{ m}$,从t = 2 s时起,M点的演员先向上振动,所以从t = 2 s到t = 3 s,M点的演员通过的路程为$2(A - y_1)=2(0.5-\frac{\sqrt{2}}{4})\text{ m}=(1-\frac{\sqrt{2}}{2})\text{ m}$。
活动2 提示:由题图甲可知,从t = 2 s时起,M点的演员先向上振动到波峰再向下振动回平衡位置,则回到平衡位置的时间大于$\frac{1}{4}$周期,而N点的演员从图示位置向下振动回平衡位置,则回到平衡位置的时间小于$\frac{1}{4}$周期,即N点的演员先回到平衡位置。
活动3 提示:P点的演员的振动函数为$y = 0.5\sin(\frac{\pi}{2}t)\text{ m}$,M点的演员的振动与P点的振动有$\frac{3}{4}\pi$的相位差,故由图甲可知M点的演员在t = 2 s时的位移为$y_1 = 0.5\sin(\frac{\pi}{2}\times2\text{ s}-\frac{3}{4}\pi)$,经$\Delta t = 1\text{ s}$,波传播的距离$\Delta x = v\Delta t = 2\text{ m}$,可知M点的演员在t = 3 s时的位移为$y_2 = 0.5\sin(\frac{\pi}{2}\times3\text{ s}-\frac{3}{4}\pi)=\frac{\sqrt{2}}{4}\text{ m}$,从t = 2 s时起,M点的演员先向上振动,所以从t = 2 s到t = 3 s,M点的演员通过的路程为$2(A - y_1)=2(0.5-\frac{\sqrt{2}}{4})\text{ m}=(1-\frac{\sqrt{2}}{2})\text{ m}$。
查看更多完整答案,请扫码查看