第31页
- 第1页
- 第2页
- 第3页
- 第4页
- 第5页
- 第6页
- 第7页
- 第8页
- 第9页
- 第10页
- 第11页
- 第12页
- 第13页
- 第14页
- 第15页
- 第16页
- 第17页
- 第18页
- 第19页
- 第20页
- 第21页
- 第22页
- 第23页
- 第24页
- 第25页
- 第26页
- 第27页
- 第28页
- 第29页
- 第30页
- 第31页
- 第32页
- 第33页
- 第34页
- 第35页
- 第36页
- 第37页
- 第38页
- 第39页
- 第40页
- 第41页
- 第42页
- 第43页
- 第44页
- 第45页
- 第46页
- 第47页
- 第48页
- 第49页
- 第50页
- 第51页
- 第52页
- 第53页
- 第54页
- 第55页
- 第56页
- 第57页
- 第58页
- 第59页
- 第60页
- 第61页
- 第62页
- 第63页
- 第64页
- 第65页
- 第66页
- 第67页
- 第68页
- 第69页
- 第70页
- 第71页
- 第72页
- 第73页
- 第74页
- 第75页
- 第76页
- 第77页
- 第78页
- 第79页
- 第80页
- 第81页
- 第82页
- 第83页
- 第84页
- 第85页
- 第86页
- 第87页
- 第88页
- 第89页
- 第90页
- 第91页
- 第92页
- 第93页
- 第94页
- 第95页
- 第96页
- 第97页
- 第98页
1.(2分)新考向 数学建模如图,两只手的食指和拇指在同一平面内,它们构成的一对角∠1和∠2从左到右依次可以看成是 ( )

A.同位角、内错角
B.同位角、同旁内角
C.内错角、同旁内角
D.同旁内角、内错角
A.同位角、内错角
B.同位角、同旁内角
C.内错角、同旁内角
D.同旁内角、内错角
答案:
C
2.(10分)观察图形填空:
(1)∠1和∠B是直线______和______被直线______所截而成的______角;
(2)∠2和∠B是直线______和______被直线______所截而成的______角;
(3)∠3的内错角是____________________;
(4)∠C的同旁内角是____________________.

(1)∠1和∠B是直线______和______被直线______所截而成的______角;
(2)∠2和∠B是直线______和______被直线______所截而成的______角;
(3)∠3的内错角是____________________;
(4)∠C的同旁内角是____________________.
答案:
(1) DE BC AB 内错
(2) AC BC AB 同旁内
(3) ∠C
(4) ∠2,∠B 和∠DAC
(1) DE BC AB 内错
(2) AC BC AB 同旁内
(3) ∠C
(4) ∠2,∠B 和∠DAC
3.(2分)将两个完全一样的三角尺按如图所示的方式放置,则边AB//CD的依据是____________,两直线平行.

答案:
内错角相等
4.(4分)如图,若∠1=∠2,则______//______;若∠1=∠3,则______//______.

答案:
$l_1$ $l_2$ $l_3$ $l_4$
5.(6分)如图,BC⊥AE于点C,∠B=55°,∠1=35°,试说明:AB//CD.

答案:
解:因为 $BC\perp AE$,所以 $\angle BCE = 90^{\circ}$,所以 $\angle BCD=\angle BCE - \angle 1 = 90^{\circ}-35^{\circ}=55^{\circ}$. 又因为 $\angle B = 55^{\circ}$,所以 $\angle B=\angle BCD$,所以 $AB// CD$
6.(2分)如图,下列条件中,能判定AB//CD的是 ( )

A.∠A=∠B
B.∠A=∠C
C.∠A+∠B=180°
D.∠A+∠C=180°
A.∠A=∠B
B.∠A=∠C
C.∠A+∠B=180°
D.∠A+∠C=180°
答案:
D
7.(2分)如图,已知∠1=60°,∠2=40°,则当∠3=______或∠4=______时,直线a//b.

答案:
$140^{\circ}$ $120^{\circ}$
8.(6分)如图,∠BAC和∠DCA的平分线交于点E,若∠1+∠2=90°,试说明:AB//CD.

答案:
解:因为 $\angle BAC$ 和 $\angle DCA$ 的平分线交于点 $E$,所以 $\angle BAC = 2\angle 1$,$\angle DCA = 2\angle 2$. 又因为 $\angle 1+\angle 2 = 90^{\circ}$,所以 $\angle BAC+\angle DCA = 2\angle 1 + 2\angle 2 = 2(\angle 1+\angle 2)=180^{\circ}$,所以 $AB// CD$
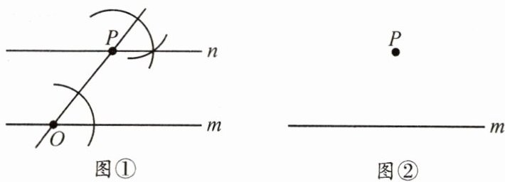
9.(6分)新教改 操作思考如图,已知点P在直线m外,用尺规作直线n,使得直线n经过点P,且n//m.

(1)图①是小红作出的符合题意的直线n,她这样作的依据是________________________;
(2)请用不同于(1)的方法在图②中作出直线n,这样作的依据是________________________.
(1)图①是小红作出的符合题意的直线n,她这样作的依据是________________________;
(2)请用不同于(1)的方法在图②中作出直线n,这样作的依据是________________________.
答案:
(1) 同位角相等,两直线平行
(2) 如图所示 内错角相等,两直线平行
![img id=第9题图]
![img id=第14题图]
(1) 同位角相等,两直线平行
(2) 如图所示 内错角相等,两直线平行
![img id=第9题图]
![img id=第14题图]
查看更多完整答案,请扫码查看