2025年优化探究同步导学案高中物理选择性必修第一册人教版
注:目前有些书本章节名称可能整理的还不是很完善,但都是按照顺序排列的,请同学们按照顺序仔细查找。练习册 2025年优化探究同步导学案高中物理选择性必修第一册人教版 答案主要是用来给同学们做完题方便对答案用的,请勿直接抄袭。
第53页
- 第1页
- 第2页
- 第3页
- 第4页
- 第5页
- 第6页
- 第7页
- 第8页
- 第9页
- 第10页
- 第11页
- 第12页
- 第13页
- 第14页
- 第15页
- 第16页
- 第17页
- 第18页
- 第19页
- 第20页
- 第21页
- 第22页
- 第23页
- 第24页
- 第25页
- 第26页
- 第27页
- 第28页
- 第29页
- 第30页
- 第31页
- 第32页
- 第33页
- 第34页
- 第35页
- 第36页
- 第37页
- 第38页
- 第39页
- 第40页
- 第41页
- 第42页
- 第43页
- 第44页
- 第45页
- 第46页
- 第47页
- 第48页
- 第49页
- 第50页
- 第51页
- 第52页
- 第53页
- 第54页
- 第55页
- 第56页
- 第57页
- 第58页
- 第59页
- 第60页
- 第61页
- 第62页
- 第63页
- 第64页
- 第65页
- 第66页
- 第67页
- 第68页
- 第69页
- 第70页
- 第71页
- 第72页
- 第73页
- 第74页
- 第75页
- 第76页
- 第77页
- 第78页
- 第79页
- 第80页
- 第81页
- 第82页
- 第83页
- 第84页
- 第85页
- 第86页
- 第87页
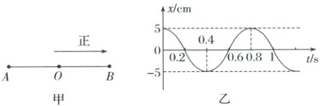
[典例1] 弹簧振子的平衡位置记为$O$点,小球在$A$、$B$间做简谐运动,如图甲所示。它的振动图像如图乙所示,取向右为正方向。下列说法正确的是(

A.在$0.1\ s$末小球的速度方向是$O \to B$
B.在$0\sim0.2\ s$内,小球的动能和弹簧的弹性势能均变大
C.小球在$0.1\ s$末和$0.3\ s$末的速度相同,加速度相同
D.小球在$0\sim4.2\ s$内的路程是$105\ cm$,在$3.6\ s$末的位移为$-5\ cm$
D
)A.在$0.1\ s$末小球的速度方向是$O \to B$
B.在$0\sim0.2\ s$内,小球的动能和弹簧的弹性势能均变大
C.小球在$0.1\ s$末和$0.3\ s$末的速度相同,加速度相同
D.小球在$0\sim4.2\ s$内的路程是$105\ cm$,在$3.6\ s$末的位移为$-5\ cm$
答案:
[典例1] D 在0.1s末小球的速度方向是B→O,故A错误;在0∼0.2s内,小球的动能变大,弹簧的弹性势能变小,故B错误;小球在0.1s末和0.3s末的速度相同,加速度大小相等、方向相同,故C错误;由题图乙可知周期T为0.8s,4.2s为$5\frac{1}{4}T,$则小球在0∼4.2s内的路程是s=5×4A+A=105cm,3.6s为$4\frac{1}{2}T,$所以在3.6s末的位移与0.4s末的位移相同,为−5cm,故D正确。
[典例2] 如图所示是一个质点做简谐运动的图像。根据图像回答下面的问题。

(1)振动质点离开平衡位置的最大距离。
(2)写出此振动质点的运动表达式。
(3)振动质点在$0\sim0.6\ s$的时间内通过的路程。
(4)振动质点在$t = 0.1\ s$、$0.3\ s$、$0.5\ s$、$0.7\ s$时的振动方向。
(5)振动质点在$0.6\sim0.8\ s$这段时间内的速度和加速度是怎样变化的?
(6)振动质点在$0.4\sim0.8\ s$这段时间内的动能变化是多少?
(1)振动质点离开平衡位置的最大距离。
(2)写出此振动质点的运动表达式。
(3)振动质点在$0\sim0.6\ s$的时间内通过的路程。
(4)振动质点在$t = 0.1\ s$、$0.3\ s$、$0.5\ s$、$0.7\ s$时的振动方向。
(5)振动质点在$0.6\sim0.8\ s$这段时间内的速度和加速度是怎样变化的?
(6)振动质点在$0.4\sim0.8\ s$这段时间内的动能变化是多少?
答案:
[典例2] [答案$] (1)5cm (2)x=5\sin2.5πt\ cm (3)15cm (4)$正方向 负方向 负方向 正方向
(5)速度增大,加速度减小
(6)零
[解析]
(1)由振动图像可以看出,质点振动的振幅为5cm,即此质点离开平衡位置的最大距离。
(2)由此质点的振动图像可知A=5cm,T=0.8s,φ=0,所以$x=A\sin(ωt+φ)=A\sin\frac{2π}{T}t=5\sin\frac{2π}{0.8}t\ cm=5\sin2.5πt\ cm。$
(3)由振动图像可以看出,质点振动的周期为T=0.8s,$0.6s=3×\frac{T}{4},$质点是从平衡位置开始振动的,故在0∼0.6s的时间内质点通过的路程为s=3×A=3×5cm=15cm。
(4)在t=0.1s时,振动质点处在位移为正值的某一位置上,若从t=0.1s起取一段极短的时间间隔Δt(Δt→0)的话,从图像中可以看出振动质点的正方向的位移将会越来越大,由此可以得出质点在t=0.1s时的振动方向沿题中所设的正方向。同理可以得出质点在t=0.3s、0.5s、0.7s时的振动方向分别沿题中所设的负方向、负方向和正方向。
(5)由振动图像可以看出,在0.6∼0.8s这段时间内,振动质点从最大位移处向平衡位置运动,故其速度是越来越大的;而质点所受的回复力是指向平衡位置的,并且逐渐减小,故其加速度的方向指向平衡位置且越来越小。
(6)由图像可看出,在0.4∼0.8s这段时间内质点从平衡位置经过半个周期的运动又回到了平衡位置,尽管初、末两个时刻的速度方向相反,但大小是相等的,故这段时间内质点的动能变化为零。
(5)速度增大,加速度减小
(6)零
[解析]
(1)由振动图像可以看出,质点振动的振幅为5cm,即此质点离开平衡位置的最大距离。
(2)由此质点的振动图像可知A=5cm,T=0.8s,φ=0,所以$x=A\sin(ωt+φ)=A\sin\frac{2π}{T}t=5\sin\frac{2π}{0.8}t\ cm=5\sin2.5πt\ cm。$
(3)由振动图像可以看出,质点振动的周期为T=0.8s,$0.6s=3×\frac{T}{4},$质点是从平衡位置开始振动的,故在0∼0.6s的时间内质点通过的路程为s=3×A=3×5cm=15cm。
(4)在t=0.1s时,振动质点处在位移为正值的某一位置上,若从t=0.1s起取一段极短的时间间隔Δt(Δt→0)的话,从图像中可以看出振动质点的正方向的位移将会越来越大,由此可以得出质点在t=0.1s时的振动方向沿题中所设的正方向。同理可以得出质点在t=0.3s、0.5s、0.7s时的振动方向分别沿题中所设的负方向、负方向和正方向。
(5)由振动图像可以看出,在0.6∼0.8s这段时间内,振动质点从最大位移处向平衡位置运动,故其速度是越来越大的;而质点所受的回复力是指向平衡位置的,并且逐渐减小,故其加速度的方向指向平衡位置且越来越小。
(6)由图像可看出,在0.4∼0.8s这段时间内质点从平衡位置经过半个周期的运动又回到了平衡位置,尽管初、末两个时刻的速度方向相反,但大小是相等的,故这段时间内质点的动能变化为零。
查看更多完整答案,请扫码查看