第32页
- 第1页
- 第2页
- 第3页
- 第4页
- 第5页
- 第6页
- 第7页
- 第8页
- 第9页
- 第10页
- 第11页
- 第12页
- 第13页
- 第14页
- 第15页
- 第16页
- 第17页
- 第18页
- 第19页
- 第20页
- 第21页
- 第22页
- 第23页
- 第24页
- 第25页
- 第26页
- 第27页
- 第28页
- 第29页
- 第30页
- 第31页
- 第32页
- 第33页
- 第34页
- 第35页
- 第36页
- 第37页
- 第38页
- 第39页
- 第40页
- 第41页
- 第42页
- 第43页
- 第44页
- 第45页
- 第46页
- 第47页
- 第48页
- 第49页
- 第50页
- 第51页
- 第52页
- 第53页
- 第54页
- 第55页
- 第56页
- 第57页
- 第58页
- 第59页
- 第60页
- 第61页
- 第62页
- 第63页
- 第64页
- 第65页
- 第66页
- 第67页
- 第68页
- 第69页
- 第70页
- 第71页
- 第72页
- 第73页
- 第74页
- 第75页
- 第76页
- 第77页
- 第78页
- 第79页
- 第80页
- 第81页
- 第82页
- 第83页
- 第84页
- 第85页
- 第86页
- 第87页
- 第88页
- 第89页
- 第90页
- 第91页
- 第92页
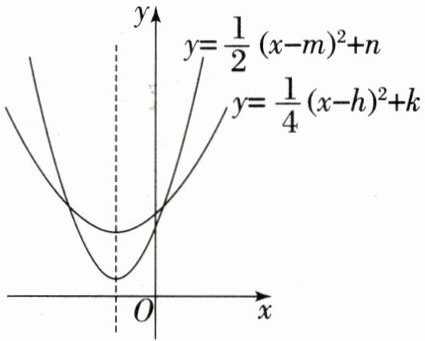
10. 如图,在平面直角坐标系中,有两条抛物线,它们的对称轴相同,则下列关系中,不正确的是 (

A.$ m = k $
B.$ m = h $
C.$ k > n $
D.$ h < 0 $,$ n > 0 $
A
)A.$ m = k $
B.$ m = h $
C.$ k > n $
D.$ h < 0 $,$ n > 0 $
答案:
A[提示:由函数的图象可知,两条抛物线的对称轴相同,则$m = h$,故B正确.抛物线$y = \frac{1}{2}(x - m)^2 + n$的顶点在抛物线$y = \frac{1}{4}(x - h)^2 + k$的顶点的下方,则$k > n$,故C正确.
∵对称轴在y轴的左侧,顶点在x轴上方,
∴$h < 0$,$m < 0$,$k > 0$,$n > 0$,故D正确.]
∵对称轴在y轴的左侧,顶点在x轴上方,
∴$h < 0$,$m < 0$,$k > 0$,$n > 0$,故D正确.]
11. 已知二次函数 $ y = a(x - 1)^2 - a(a \neq 0) $,当 $ -1 \leq x \leq 4 $ 时,$ y $ 的最小值为 $ -4 $,则 $ a $ 的值为 (
A.$ \frac{1}{2} $ 或 $ 4 $
B.$ \frac{4}{3} $ 或 $ -\frac{1}{2} $
C.$ -\frac{4}{3} $ 或 $ 4 $
D.$ -\frac{1}{2} $ 或 $ 4 $
4或$-\frac{1}{2}$
)A.$ \frac{1}{2} $ 或 $ 4 $
B.$ \frac{4}{3} $ 或 $ -\frac{1}{2} $
C.$ -\frac{4}{3} $ 或 $ 4 $
D.$ -\frac{1}{2} $ 或 $ 4 $
答案:
D[提示:抛物线$y = a(x - 1)^2 - a$的对称轴为直线$x = 1$,顶点坐标为$(1, -a)$.当$a > 0$时,在$-1\leqslant x\leqslant4$,函数有最小值$-a$,
∵y的最小值为$-4$,
∴$-a = -4$,$a = 4$.当$a < 0$时,在$-1\leqslant x\leqslant4$,当$x = 4$时,函数有最小值,
∴$9a - a = -4$,解得$a = -\frac{1}{2}$.综上,a的值为4或$-\frac{1}{2}$]
∵y的最小值为$-4$,
∴$-a = -4$,$a = 4$.当$a < 0$时,在$-1\leqslant x\leqslant4$,当$x = 4$时,函数有最小值,
∴$9a - a = -4$,解得$a = -\frac{1}{2}$.综上,a的值为4或$-\frac{1}{2}$]
12. 点 $ A(m - 1,y_1) $,$ B(m,y_2) $ 都在二次函数 $ y = (x - 1)^2 + n $ 的图象上。若 $ y_1 < y_2 $,则 $ m $ 的取值范围为 (
A.$ m > 2 $
B.$ m > \frac{3}{2} $
C.$ m < 1 $
D.$ \frac{3}{2} < m < 2 $
$m > \frac{3}{2}$
)A.$ m > 2 $
B.$ m > \frac{3}{2} $
C.$ m < 1 $
D.$ \frac{3}{2} < m < 2 $
答案:
B[提示:
∵点$A(m - 1, y_1)$,$B(m, y_2)$都在二次函数$y = (x - 1)^2 + n$的图象上,
∴$y_1 = (m - 1 - 1)^2 + n = (m - 2)^2 + n$,$y_2 = (m - 1)^2 + n$.
∵$y_1 < y_2$,
∴$(m - 2)^2 + n < (m - 1)^2 + n$,
∴$(m - 2)^2 - (m - 1)^2 < 0$,即$-2m + 3 < 0$,
∴$m > \frac{3}{2}$]
∵点$A(m - 1, y_1)$,$B(m, y_2)$都在二次函数$y = (x - 1)^2 + n$的图象上,
∴$y_1 = (m - 1 - 1)^2 + n = (m - 2)^2 + n$,$y_2 = (m - 1)^2 + n$.
∵$y_1 < y_2$,
∴$(m - 2)^2 + n < (m - 1)^2 + n$,
∴$(m - 2)^2 - (m - 1)^2 < 0$,即$-2m + 3 < 0$,
∴$m > \frac{3}{2}$]
13. (易错题) 已知抛物线 $ y = (x + a)^2 + 2a^2 + 3a - 5 $。
(1) 若顶点在坐标轴上,求字母 $ a $ 的值,并指出顶点坐标;
(2) 若顶点在直线 $ x = 2 $ 上,求字母 $ a $ 的值,并指出顶点坐标。
(1) 若顶点在坐标轴上,求字母 $ a $ 的值,并指出顶点坐标;
(2) 若顶点在直线 $ x = 2 $ 上,求字母 $ a $ 的值,并指出顶点坐标。
答案:
解:
(1)当顶点在x轴上时,$2a^2 + 3a - 5 = 0$,解得$a_1 = 1$,$a_2 = -\frac{5}{2}$.当顶点在y轴上时,$-a = 0$,解得$a = 0$.综上,当$a = 1$时,顶点坐标为$(-1, 0)$;当$a = -\frac{5}{2}$时,顶点坐标为$(\frac{5}{2}, 0)$;当$a = 0$时,顶点坐标为$(0, -5)$.
(2)
∵抛物线$y = (x + a)^2 + 2a^2 + 3a - 5$,顶点在直线$x = 2$上,
∴$-a = 2$,解得$a = -2$,
∴抛物线为$y = (x - 2)^2 - 3$,此时抛物线的顶点坐标为$(2, -3)$,即a的值是$-2$,此时抛物线的顶点坐标为$(2, -3)$.
(1)当顶点在x轴上时,$2a^2 + 3a - 5 = 0$,解得$a_1 = 1$,$a_2 = -\frac{5}{2}$.当顶点在y轴上时,$-a = 0$,解得$a = 0$.综上,当$a = 1$时,顶点坐标为$(-1, 0)$;当$a = -\frac{5}{2}$时,顶点坐标为$(\frac{5}{2}, 0)$;当$a = 0$时,顶点坐标为$(0, -5)$.
(2)
∵抛物线$y = (x + a)^2 + 2a^2 + 3a - 5$,顶点在直线$x = 2$上,
∴$-a = 2$,解得$a = -2$,
∴抛物线为$y = (x - 2)^2 - 3$,此时抛物线的顶点坐标为$(2, -3)$,即a的值是$-2$,此时抛物线的顶点坐标为$(2, -3)$.
14. (新定义题) 如图,抛物线 $ y = a(x - h)^2 + k(a < 0,k > 0) $ 的顶点为 $ A $,对称轴与 $ x $ 轴交于点 $ C $,当以 $ AC $ 为对角线的正方形 $ ABCD $ 的另外两个顶点 $ B $,$ D $ 恰好在抛物线上时,我们把这样的抛物线称为“美丽抛物线”,正方形 $ ABCD $ 为它的内接正方形。

(1) 当抛物线 $ y = ax^2 + 2 $ 是“美丽抛物线”时,$ a = $
(2) 当抛物线 $ y = -\frac{1}{2}(x - 1)^2 + k $ 是“美丽抛物线”时,$ k = $
(3) 若抛物线 $ y = a(x - h)^2 + k $ 是“美丽抛物线”,求 $ a $,$ k $ 之间的数量关系。
(1) 当抛物线 $ y = ax^2 + 2 $ 是“美丽抛物线”时,$ a = $
-1
;(2) 当抛物线 $ y = -\frac{1}{2}(x - 1)^2 + k $ 是“美丽抛物线”时,$ k = $
4
;(3) 若抛物线 $ y = a(x - h)^2 + k $ 是“美丽抛物线”,求 $ a $,$ k $ 之间的数量关系。
抛物线经过$(h + \frac{1}{2}k, \frac{1}{2}k)$,∴$\frac{1}{2}k = a(h + \frac{1}{2}k - h)^2 + k$,解得$ak = -2$,故a,k之间的数量关系为$ak = -2$.
答案:
解:
(1)
∵$y = ax^2 + 2$,
∴抛物线顶点A坐标为$(0, 2)$,
∴点C坐标为$(0, 0)$,
∴点B坐标为$(-1, 1)$,点D坐标为$(1, 1)$.将$(1, 1)$代入$y = ax^2 + 2$得$1 = a + 2$,解得$a = -1$.
(2)
∵$y = -\frac{1}{2}(x - 1)^2 + k$,
∴抛物线顶点A坐标为$(1, k)$,点C坐标为$(1, 0)$,
∴点D坐标为$(1 + \frac{1}{2}k, \frac{1}{2}k)$.将$(1 + \frac{1}{2}k, \frac{1}{2}k)$代入$y = -\frac{1}{2}(x - 1)^2 + k$,得$\frac{1}{2}k = -\frac{1}{2}(1 + \frac{k}{2} - 1)^2 + k$,解得$k = 0$(舍)或$k = 4$.
(3)抛物线经过$(h + \frac{1}{2}k, \frac{1}{2}k)$,
∴$\frac{1}{2}k = a(h + \frac{1}{2}k - h)^2 + k$,解得$ak = -2$,故a,k之间的数量关系为$ak = -2$.
(1)
∵$y = ax^2 + 2$,
∴抛物线顶点A坐标为$(0, 2)$,
∴点C坐标为$(0, 0)$,
∴点B坐标为$(-1, 1)$,点D坐标为$(1, 1)$.将$(1, 1)$代入$y = ax^2 + 2$得$1 = a + 2$,解得$a = -1$.
(2)
∵$y = -\frac{1}{2}(x - 1)^2 + k$,
∴抛物线顶点A坐标为$(1, k)$,点C坐标为$(1, 0)$,
∴点D坐标为$(1 + \frac{1}{2}k, \frac{1}{2}k)$.将$(1 + \frac{1}{2}k, \frac{1}{2}k)$代入$y = -\frac{1}{2}(x - 1)^2 + k$,得$\frac{1}{2}k = -\frac{1}{2}(1 + \frac{k}{2} - 1)^2 + k$,解得$k = 0$(舍)或$k = 4$.
(3)抛物线经过$(h + \frac{1}{2}k, \frac{1}{2}k)$,
∴$\frac{1}{2}k = a(h + \frac{1}{2}k - h)^2 + k$,解得$ak = -2$,故a,k之间的数量关系为$ak = -2$.
15. (探究题) 数形结合是解决数学问题的重要方法。小爱同学学习二次函数后,对函数 $ y = -(|x| - 1)^2 $ 进行了探究。在经历列表、描点、连线步骤后,得到如图的函数图象。请根据函数图象,回答下列问题:

(1) 观察探究:
① 写出该函数的一条性质:______;
② 方程 $ -(|x| - 1)^2 = -1 $ 的解为:______;
③ 若方程 $ -(|x| - 1)^2 = a $ 有四个实数根,则 $ a $ 的取值范围是______。
(2) 延伸思考:
① 将函数 $ y = -(|x| - 1)^2 $ 的图象经过怎样的平移,可得到函数 $ y_1 = -(|x - 2| - 1)^2 + 3 $ 的图象?画出平移后的图象。
② 观察平移后的图象,当 $ 2 \leq y_1 \leq 3 $ 时,直接写出自变量 $ x $ 的取值范围:______。
(1) 观察探究:
① 写出该函数的一条性质:______;
② 方程 $ -(|x| - 1)^2 = -1 $ 的解为:______;
③ 若方程 $ -(|x| - 1)^2 = a $ 有四个实数根,则 $ a $ 的取值范围是______。
(2) 延伸思考:
① 将函数 $ y = -(|x| - 1)^2 $ 的图象经过怎样的平移,可得到函数 $ y_1 = -(|x - 2| - 1)^2 + 3 $ 的图象?画出平移后的图象。
② 观察平移后的图象,当 $ 2 \leq y_1 \leq 3 $ 时,直接写出自变量 $ x $ 的取值范围:______。
答案:
解:
(1)观察探究:①函数图象关于y轴对称(答案不唯一) ②$x = -2$或$x = 0$或$x = 2$ ③$-1 < a < 0$
(2)①将函数$y = -( |x| - 1)^2$的图象向右平移2个单位,再向上平移3个单位可得到函数$y = -( |x - 2| - 1)^2 + 3$的图象,如图.②当$2\leqslant y\leqslant3$时,自变量x的取值范围是$0\leqslant x\leqslant4$.

解:
(1)观察探究:①函数图象关于y轴对称(答案不唯一) ②$x = -2$或$x = 0$或$x = 2$ ③$-1 < a < 0$
(2)①将函数$y = -( |x| - 1)^2$的图象向右平移2个单位,再向上平移3个单位可得到函数$y = -( |x - 2| - 1)^2 + 3$的图象,如图.②当$2\leqslant y\leqslant3$时,自变量x的取值范围是$0\leqslant x\leqslant4$.
查看更多完整答案,请扫码查看