第50页
- 第1页
- 第2页
- 第3页
- 第4页
- 第5页
- 第6页
- 第7页
- 第8页
- 第9页
- 第10页
- 第11页
- 第12页
- 第13页
- 第14页
- 第15页
- 第16页
- 第17页
- 第18页
- 第19页
- 第20页
- 第21页
- 第22页
- 第23页
- 第24页
- 第25页
- 第26页
- 第27页
- 第28页
- 第29页
- 第30页
- 第31页
- 第32页
- 第33页
- 第34页
- 第35页
- 第36页
- 第37页
- 第38页
- 第39页
- 第40页
- 第41页
- 第42页
- 第43页
- 第44页
- 第45页
- 第46页
- 第47页
- 第48页
- 第49页
- 第50页
- 第51页
- 第52页
- 第53页
- 第54页
- 第55页
- 第56页
- 第57页
- 第58页
- 第59页
- 第60页
- 第61页
- 第62页
- 第63页
- 第64页
- 第65页
- 第66页
10. 在如图所示的电路中,有一根导线尚未连接,请用笔画线代替导线补充完整。要求:灯L与滑动变阻器R串联,且闭合开关S后,当滑动变阻器的滑片向左移动时,电流表的示数变小。

答案:
解:如图所示
解:如图所示
11. 如图所示的电路中,有两根导线尚未连接,请用笔画线代替导线补充完整。要求:①电压表测小灯泡两端电压;②闭合开关后,向A端移动滑动变阻器的滑片P,小灯泡变亮。

答案:
解:如图所示
解:如图所示
12. 如图所示,在图中用笔画线代替导线,将实验电路连接完整。要求:滑动变阻器的滑片向右滑动时连入电路的电阻变小。

答案:
解:如图所示
解:如图所示
13. 如图所示的电路中,有几根导线尚未连接,请用笔画线代替导线补上,补上后要求:
(1)两灯泡并联。
(2)电流表测灯$L_1$中的电流。
(3)闭合开关后,向A端移动滑动变阻器的滑片P,两灯均变暗。

(1)两灯泡并联。
(2)电流表测灯$L_1$中的电流。
(3)闭合开关后,向A端移动滑动变阻器的滑片P,两灯均变暗。
答案:
解:如图所示
解:如图所示
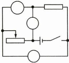
14. 在图示电路中的“○”内,填入电流表或电压表的符号,要求两灯都能工作。

答案:
解:如图所示
解:如图所示
15. 在如图所示的电路中填上适当的电表符号,要求两灯并联,使之成为正确的电路。

答案:
解:如图所示
解:如图所示
16. 如图所示电路,请在三处“○”内分别填上电流表或电压表,使电路正确且为并联电路。

答案:
解:如图所示
解:如图所示
查看更多完整答案,请扫码查看