2025年创新成功学习快乐暑假七年级
注:目前有些书本章节名称可能整理的还不是很完善,但都是按照顺序排列的,请同学们按照顺序仔细查找。练习册 2025年创新成功学习快乐暑假七年级 答案主要是用来给同学们做完题方便对答案用的,请勿直接抄袭。
第38页
- 第1页
- 第2页
- 第3页
- 第4页
- 第5页
- 第6页
- 第7页
- 第8页
- 第9页
- 第10页
- 第11页
- 第12页
- 第13页
- 第14页
- 第15页
- 第16页
- 第17页
- 第18页
- 第19页
- 第20页
- 第21页
- 第22页
- 第23页
- 第24页
- 第25页
- 第26页
- 第27页
- 第28页
- 第29页
- 第30页
- 第31页
- 第32页
- 第33页
- 第34页
- 第35页
- 第36页
- 第37页
- 第38页
- 第39页
- 第40页
- 第41页
- 第42页
- 第43页
- 第44页
- 第45页
- 第46页
- 第47页
- 第48页
- 第49页
- 第50页
- 第51页
- 第52页
- 第53页
- 第54页
- 第55页
- 第56页
- 第57页
- 第58页
- 第59页
- 第60页
- 第61页
- 第62页
- 第63页
- 第64页
- 第65页
- 第66页
- 第67页
- 第68页
- 第69页
- 第70页
- 第71页
- 第72页
- 第73页
- 第74页
- 第75页
- 第76页
- 第77页
- 第78页
- 第79页
- 第80页
- 第81页
- 第82页
- 第83页
- 第84页
- 第85页
- 第86页
- 第87页
- 第88页
- 第89页
- 第90页
- 第91页
- 第92页
- 第93页
- 第94页
- 第95页
- 第96页
- 第97页
- 第98页
- 第99页
- 第100页
- 第101页
- 第102页
- 第103页
- 第104页
- 第105页
- 第106页
- 第107页
- 第108页
- 第109页
- 第110页
- 第111页
- 第112页
- 第113页
- 第114页
- 第115页
- 第116页
- 第117页
- 第118页
- 第119页
- 第120页
- 第121页
- 第122页
- 第123页
- 第124页
- 第125页
- 第126页
- 第127页
- 第128页
- 第129页
- 第130页
- 第131页
- 第132页
- 第133页
- 第134页
- 第135页
- 第136页
- 第137页
- 第138页
- 第139页
- 第140页
- 第141页
22. 如图,$ OP $ 是 $ \angle AOC $ 和 $ \angle BOD $ 的角平分线,$ OA = OC $,$ OB = OD $。
(1) 图中 $ \angle 1 = \angle 2 $ 吗?试说明理由;
(2) $ AB = CD $ 吗?试说明理由。

(1) 图中 $ \angle 1 = \angle 2 $ 吗?试说明理由;
解: $ ∠1 = ∠2 $,理由如下:
$ ∵OP $ 平分 $ ∠AOC $,
$ ∴∠AOP = ∠COP $。
又 $ ∵OP $ 平分 $ ∠BOD $,
$ ∴∠BOP = ∠DOP $。
$ ∴∠AOP - ∠BOP = ∠COP - ∠DOP $。
$ ∴∠1 = ∠2 $;
$ ∵OP $ 平分 $ ∠AOC $,
$ ∴∠AOP = ∠COP $。
又 $ ∵OP $ 平分 $ ∠BOD $,
$ ∴∠BOP = ∠DOP $。
$ ∴∠AOP - ∠BOP = ∠COP - ∠DOP $。
$ ∴∠1 = ∠2 $;
(2) $ AB = CD $ 吗?试说明理由。
解: $ AB = CD $,理由如下:
在 $ △AOB $ 和 $ △COD $ 中,
$ OA = OC $,$ ∠1 = ∠2 $,$ OB = OD $,
$ ∴△AOB ≌ △COD $。
$ ∴AB = CD $。
在 $ △AOB $ 和 $ △COD $ 中,
$ OA = OC $,$ ∠1 = ∠2 $,$ OB = OD $,
$ ∴△AOB ≌ △COD $。
$ ∴AB = CD $。
答案:
解:
(1) $ ∠1 = ∠2 $,理由如下:
$ ∵OP $ 平分 $ ∠AOC $,
$ ∴∠AOP = ∠COP $。
又 $ ∵OP $ 平分 $ ∠BOD $,
$ ∴∠BOP = ∠DOP $。
$ ∴∠AOP - ∠BOP = ∠COP - ∠DOP $。
$ ∴∠1 = ∠2 $;
(2) $ AB = CD $,理由如下:
在 $ △AOB $ 和 $ △COD $ 中,
$ OA = OC $,$ ∠1 = ∠2 $,$ OB = OD $,
$ ∴△AOB ≌ △COD $。
$ ∴AB = CD $。
(1) $ ∠1 = ∠2 $,理由如下:
$ ∵OP $ 平分 $ ∠AOC $,
$ ∴∠AOP = ∠COP $。
又 $ ∵OP $ 平分 $ ∠BOD $,
$ ∴∠BOP = ∠DOP $。
$ ∴∠AOP - ∠BOP = ∠COP - ∠DOP $。
$ ∴∠1 = ∠2 $;
(2) $ AB = CD $,理由如下:
在 $ △AOB $ 和 $ △COD $ 中,
$ OA = OC $,$ ∠1 = ∠2 $,$ OB = OD $,
$ ∴△AOB ≌ △COD $。
$ ∴AB = CD $。
23. 计算:$ 3^{-2} + (-5)^0 $。
答案:
解:原式 $=\frac{1}{3^2}+1=\frac{1}{9}+1=\frac{10}{9}$
24. 如图,直线 $ AB $,$ CD $ 分别被直线 $ AC $,$ BD $ 所截,$ \angle 3 = \angle 4 $。
(1) 直线 $ AB $ 与 $ CD $ 平行吗?请说明理由;
解:直线AB与CD
$ ∵∠3 = ∠4 $,
$ ∴AB // CD $(
(2) 若 $ \angle 1 = 65^{\circ} $,求 $ \angle 2 $ 的度数。
解: $ ∵AB // CD $,
$ ∴∠1 = ∠2 $(
$ ∵∠1 = 65^{\circ} $,
$ ∴∠2 =
(1) 直线 $ AB $ 与 $ CD $ 平行吗?请说明理由;
解:直线AB与CD
平行
,理由如下:$ ∵∠3 = ∠4 $,
$ ∴AB // CD $(
内错角相等,两直线平行
)。(2) 若 $ \angle 1 = 65^{\circ} $,求 $ \angle 2 $ 的度数。
解: $ ∵AB // CD $,
$ ∴∠1 = ∠2 $(
两直线平行,同位角相等
)。$ ∵∠1 = 65^{\circ} $,
$ ∴∠2 =
65^{\circ}
$。
答案:
解:
(1)直线AB与CD平行,理由如下:
$ ∵∠3 = ∠4 $,
$ ∴AB // CD $(内错角相等,两直线平行)。
(2) $ ∵AB // CD $,
$ ∴∠1 = ∠2 $(两直线平行,同位角相等)。
$ ∵∠1 = 65^{\circ} $,
$ ∴∠2 = 65^{\circ} $。
(1)直线AB与CD平行,理由如下:
$ ∵∠3 = ∠4 $,
$ ∴AB // CD $(内错角相等,两直线平行)。
(2) $ ∵AB // CD $,
$ ∴∠1 = ∠2 $(两直线平行,同位角相等)。
$ ∵∠1 = 65^{\circ} $,
$ ∴∠2 = 65^{\circ} $。
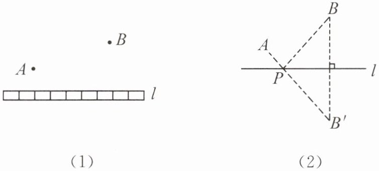
25. 如图,要在燃气管道 $ l $ 上修建一个泵站,分别向 $ A $,$ B $ 两镇供气. 泵站修在管道的什么地方,可使所用的输气管线最短?你可以在 $ l $ 上找几个点?试一试,能发现什么规律?

聪明的小明通过独立思考,很快得出了解决这个问题的正确办法. 他把管道 $ l $ 看成一条直线 [图(2)],问题就转化为要在直线 $ l $ 上找一点 $ P $,使 $ AP $ 与 $ BP $ 的和最小. 他的做法是这样的:
① 作点 $ B $ 关于直线 $ l $ 的对称点 $ B' $;
② 连接 $ AB' $ 交直线 $ l $ 于点 $ P $,则点 $ P $ 即为所求.
请你参考小明的做法解决下列问题:
如图(3),在 $ \triangle ABC $ 中,$ D $,$ E $ 分别是 $ AB $,$ AC $ 边的中点,请你在 $ BC $ 边上确定一点 $ P $,使 $ \triangle PDE $ 的周长最小.

聪明的小明通过独立思考,很快得出了解决这个问题的正确办法. 他把管道 $ l $ 看成一条直线 [图(2)],问题就转化为要在直线 $ l $ 上找一点 $ P $,使 $ AP $ 与 $ BP $ 的和最小. 他的做法是这样的:
① 作点 $ B $ 关于直线 $ l $ 的对称点 $ B' $;
② 连接 $ AB' $ 交直线 $ l $ 于点 $ P $,则点 $ P $ 即为所求.
请你参考小明的做法解决下列问题:
如图(3),在 $ \triangle ABC $ 中,$ D $,$ E $ 分别是 $ AB $,$ AC $ 边的中点,请你在 $ BC $ 边上确定一点 $ P $,使 $ \triangle PDE $ 的周长最小.
答案:
解:如图,作点D关于直线BC的对称点D',连接ED'交BC于点P,连接PD,点P即为所求.
解:如图,作点D关于直线BC的对称点D',连接ED'交BC于点P,连接PD,点P即为所求.
查看更多完整答案,请扫码查看