2025年创新成功学习快乐暑假七年级
注:目前有些书本章节名称可能整理的还不是很完善,但都是按照顺序排列的,请同学们按照顺序仔细查找。练习册 2025年创新成功学习快乐暑假七年级 答案主要是用来给同学们做完题方便对答案用的,请勿直接抄袭。
第124页
- 第1页
- 第2页
- 第3页
- 第4页
- 第5页
- 第6页
- 第7页
- 第8页
- 第9页
- 第10页
- 第11页
- 第12页
- 第13页
- 第14页
- 第15页
- 第16页
- 第17页
- 第18页
- 第19页
- 第20页
- 第21页
- 第22页
- 第23页
- 第24页
- 第25页
- 第26页
- 第27页
- 第28页
- 第29页
- 第30页
- 第31页
- 第32页
- 第33页
- 第34页
- 第35页
- 第36页
- 第37页
- 第38页
- 第39页
- 第40页
- 第41页
- 第42页
- 第43页
- 第44页
- 第45页
- 第46页
- 第47页
- 第48页
- 第49页
- 第50页
- 第51页
- 第52页
- 第53页
- 第54页
- 第55页
- 第56页
- 第57页
- 第58页
- 第59页
- 第60页
- 第61页
- 第62页
- 第63页
- 第64页
- 第65页
- 第66页
- 第67页
- 第68页
- 第69页
- 第70页
- 第71页
- 第72页
- 第73页
- 第74页
- 第75页
- 第76页
- 第77页
- 第78页
- 第79页
- 第80页
- 第81页
- 第82页
- 第83页
- 第84页
- 第85页
- 第86页
- 第87页
- 第88页
- 第89页
- 第90页
- 第91页
- 第92页
- 第93页
- 第94页
- 第95页
- 第96页
- 第97页
- 第98页
- 第99页
- 第100页
- 第101页
- 第102页
- 第103页
- 第104页
- 第105页
- 第106页
- 第107页
- 第108页
- 第109页
- 第110页
- 第111页
- 第112页
- 第113页
- 第114页
- 第115页
- 第116页
- 第117页
- 第118页
- 第119页
- 第120页
- 第121页
- 第122页
- 第123页
- 第124页
- 第125页
- 第126页
- 第127页
- 第128页
- 第129页
- 第130页
- 第131页
- 第132页
- 第133页
- 第134页
- 第135页
- 第136页
- 第137页
- 第138页
- 第139页
- 第140页
- 第141页
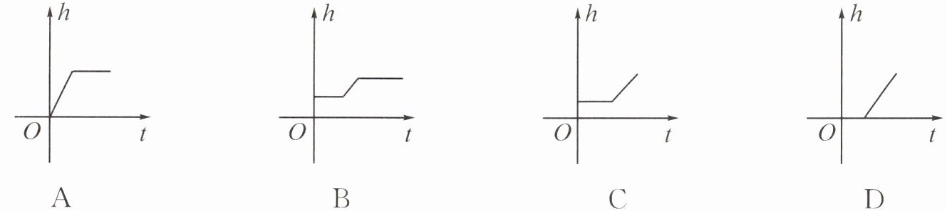
7. 沿大容器内壁匀速注水(如图所示),则小水杯内水面的高度$h(cm)与注水时间t(min)$的函数图象大致为(

B
)
答案:
B 【解析】圆柱形小水杯事先盛有部分水,起点处小水杯内水面的高度 $ h(\mathrm{cm}) $ 必然是大于 $ 0 $ 的,用排除法可以排除掉 A、D。注水管沿大容器内壁匀速注水,在大容器内水面高度到达 $ h $ 之前,小水杯中水边高度保持不变,大容器内水面高度到达 $ h $ 后,水匀速从大容器流入小容器,小容器水面高度匀速上升,达到最大高度 $ h $ 后,小容器内盛满了水,水面高度一直保持 $ h $ 不变,因此可以排除 C,正确答案选 B.
8. 从甲地到乙地有$16km$,某人以$4 ~ 8km/h$的速度由甲地到乙地,则他用的时间大约是(
A.$1~2h$
B.$2~3h$
C.$3~4h$
D.$2~4h$
D
)A.$1~2h$
B.$2~3h$
C.$3~4h$
D.$2~4h$
答案:
D
9. 下列图形中,是轴对称图形的是(

D
)
答案:
D
10. 石墨在我国储能丰富,我国在石墨烯研究上具有独特的优势。石墨烯是现在世界上最薄的纳米材料,其理论厚度应是$0.0000098m$。数据$0.0000098$用科学记数法表示是(
A.$0.98×10^{-5}$
B.$9.8×10^{6}$
C.$9.8×10^{-6}$
D.$9.8×10^{-5}$
C
)A.$0.98×10^{-5}$
B.$9.8×10^{6}$
C.$9.8×10^{-6}$
D.$9.8×10^{-5}$
答案:
C
11. 如图所示。下列条件中能判定$AB // CD$是(

A.$∠1 = ∠2$
B.$∠ADC = ∠B$
C.$∠D + ∠BCD = 180^{\circ}$
D.$∠3 = ∠4$
D
)A.$∠1 = ∠2$
B.$∠ADC = ∠B$
C.$∠D + ∠BCD = 180^{\circ}$
D.$∠3 = ∠4$
答案:
D
12. 在一口锅里有外表一样的汤圆,其中7个是花生馅的,5个是黑芝麻馅的,8个是豆沙馅的。小文随意捞起一个,最有可能捞到的汤圆是(
A.花生馅汤圆
B.黑芝麻馅汤圆
C.豆沙馅汤圆
D.无法确定
C
)A.花生馅汤圆
B.黑芝麻馅汤圆
C.豆沙馅汤圆
D.无法确定
答案:
C
13. 用三角板作$△ABC$的高。下列作法正确的是(

D
)
答案:
D
查看更多完整答案,请扫码查看