9. 如图是2023年中国新能源汽车购买用户地区分布图,由图可知下列说法错误的是( )
A.一线城市购买新能源汽车的用户最多
B.二线城市购买新能源汽车用户达37%
C.三四线城市购买新能源汽车用户达到11万
D.四线城市以下购买新能源汽车用户最少
A.一线城市购买新能源汽车的用户最多
B.二线城市购买新能源汽车用户达37%
C.三四线城市购买新能源汽车用户达到11万
D.四线城市以下购买新能源汽车用户最少
答案:
C
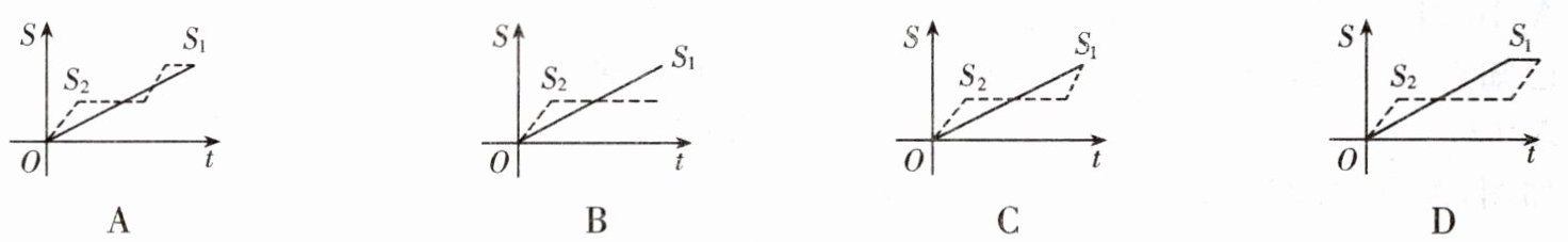
10. 新龟兔赛跑的故事:龟兔从同一地点同时出发后,兔子很快把乌龟远远甩在后头. 骄傲自满的兔子觉得自己遥遥领先,就躺在路边呼呼大睡起来. 当它一觉醒来,发现乌龟已经超过它,于是奋力直追,最后同时到达终点. 用$S_1,S_2$分别表示乌龟和兔子赛跑的路程,t为赛跑时间,则下列图象中与故事情节相吻合的是( )

答案:
C
11. 在同一平面直角坐标系中,函数y= ax和y= x+a(a为常数,a<0)的图象可能是( )

答案:
D
12. 如图,在正方形ABCD中,点E,F分别在BC,CD上,连接AE,AF,EF,∠EAF= 45°. 若∠BAE= α,则∠FEC一定等于( )

A.2α
B.90°-2α
C.45°-α
D.90°-α
A.2α
B.90°-2α
C.45°-α
D.90°-α
答案:
A
13. 在扇形统计图中,其中一个扇形的圆心角是216°,则这部分扇形所表示的部分占总体的百分数是______.
答案:
60%
14. 某校共有1000名学生. 为了解学生的中长跑成绩分布情况,随机抽取100名学生的中长跑成绩,画出条形统计图,如图. 根据所学的统计知识可估计该校中长跑成绩优秀的学生人数是______.

答案:
270
15. 如图,正方形ABCD中,AB= 2,E为对角线BD上一点,且DE= AD,EF⊥AB于F,则EF= ______.
答案:
2 - $\sqrt{2}$
查看更多完整答案,请扫码查看