第35页
- 第1页
- 第2页
- 第3页
- 第4页
- 第5页
- 第6页
- 第7页
- 第8页
- 第9页
- 第10页
- 第11页
- 第12页
- 第13页
- 第14页
- 第15页
- 第16页
- 第17页
- 第18页
- 第19页
- 第20页
- 第21页
- 第22页
- 第23页
- 第24页
- 第25页
- 第26页
- 第27页
- 第28页
- 第29页
- 第30页
- 第31页
- 第32页
- 第33页
- 第34页
- 第35页
- 第36页
- 第37页
- 第38页
- 第39页
- 第40页
- 第41页
- 第42页
- 第43页
- 第44页
- 第45页
- 第46页
- 第47页
- 第48页
- 第49页
- 第50页
- 第51页
- 第52页
- 第53页
- 第54页
- 第55页
- 第56页
- 第57页
- 第58页
- 第59页
- 第60页
- 第61页
- 第62页
- 第63页
- 第64页
- 第65页
- 第66页
- 第67页
- 第68页
- 第69页
- 第70页
- 第71页
- 第72页
- 第73页
- 第74页
- 第75页
- 第76页
- 第77页
- 第78页
- 第79页
- 第80页
- 第81页
- 第82页
- 第83页
- 第84页
- 第85页
- 第86页
- 第87页
- 第88页
- 第89页
- 第90页
- 第91页
1 下列各式中计算正确的是( )。
A.$\sqrt {3}+\sqrt {2}= \sqrt {5}$
B.$(\sqrt {3}+\sqrt {2})^{2}= 5$
C.$(1-\sqrt {2})(1+\sqrt {2})= -1$
D.$\sqrt {2}÷\sqrt {3}= \sqrt {\frac {3}{2}}$
A.$\sqrt {3}+\sqrt {2}= \sqrt {5}$
B.$(\sqrt {3}+\sqrt {2})^{2}= 5$
C.$(1-\sqrt {2})(1+\sqrt {2})= -1$
D.$\sqrt {2}÷\sqrt {3}= \sqrt {\frac {3}{2}}$
答案:
C
2 下列等式正确的是( )。
A.$2\sqrt {3}+3\sqrt {2}= 5\sqrt {5}$
B.$\sqrt {9\frac {1}{4}}= 3\frac {1}{2}$
C.$\sqrt {(π-3.14)^{2}}= 3.14-π$
D.$\sqrt {6}÷(\sqrt {3}+\sqrt {2})= 3\sqrt {2}-2\sqrt {3}$
A.$2\sqrt {3}+3\sqrt {2}= 5\sqrt {5}$
B.$\sqrt {9\frac {1}{4}}= 3\frac {1}{2}$
C.$\sqrt {(π-3.14)^{2}}= 3.14-π$
D.$\sqrt {6}÷(\sqrt {3}+\sqrt {2})= 3\sqrt {2}-2\sqrt {3}$
答案:
D
3 小强根据学习“数与式”积累的经验,对下面二次根式的运算规律进行探究,并写出了一些相应的等式如下$\sqrt {1-\frac {1}{2}}= \sqrt {\frac {1}{2}}$;$\sqrt {2-\frac {2}{5}}= 2\sqrt {\frac {2}{5}}$,$\sqrt {3-\frac {3}{10}}= 3\sqrt {\frac {3}{10}}$;$\sqrt {4-\frac {4}{17}}= 4\sqrt {\frac {4}{17}}$;…若$\sqrt {a-\frac {a}{170}}= 13\sqrt {\frac {13}{b}}$($a$、$b$均为正整数),则$(a^{2}-b)^{2024}$的值为( )。
A.2024
B.-1
C.$157^{2024}$
D.1
A.2024
B.-1
C.$157^{2024}$
D.1
答案:
D
4 化简$(\sqrt {x+y}+\sqrt {x-y})^{2}+(\sqrt {x+y}-\sqrt {x-y})^{2}$的结果为( )。
A.4x
B.4y
C.$2x+2y$
D.$2x-2y$
A.4x
B.4y
C.$2x+2y$
D.$2x-2y$
答案:
A
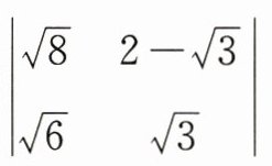
5 将4个数$a$、$b$、$c$、$d$排成2行、2列,两边各加一条竖直线,记成$\begin{vmatrix} a&b\\ c&d\end{vmatrix} $,定义$\begin{vmatrix} a&b\\ c&d\end{vmatrix} = ad-bc$,则$\begin{vmatrix} \sqrt {8}&2-\sqrt {3}\\ \sqrt {6}&\sqrt {3}\end{vmatrix} $的值是( )。


A.$2\sqrt {3}$
B.$3\sqrt {2}$
C.1
D.0
A.$2\sqrt {3}$
B.$3\sqrt {2}$
C.1
D.0
答案:
B
6 $\frac {1}{1+\sqrt {3}}+\frac {1}{\sqrt {2}+2}+\frac {1}{\sqrt {3}+\sqrt {5}}+… +\frac {1}{\sqrt {97}+\sqrt {99}}+\frac {1}{\sqrt {98}+10}= $( )。

A.9
B.$\frac {9}{2}$
C.$\frac {9+3\sqrt {11}-\sqrt {2}}{2}$
D.$\frac {7+3\sqrt {11}}{2}$
A.9
B.$\frac {9}{2}$
C.$\frac {9+3\sqrt {11}-\sqrt {2}}{2}$
D.$\frac {7+3\sqrt {11}}{2}$
答案:
C
7 若$a+6\sqrt {3}= (m+n\sqrt {3})^{2}$,当$a$、$m$、$n$均为正整数时,则$\sqrt {a}$的值为 。
答案:
$2\sqrt{7}$或$2\sqrt{3}$
8 计算:$\sqrt {6}÷(\sqrt {3}+\sqrt {2})= $ 。
答案:
$3\sqrt{2}-2\sqrt{3}$
9 计算:$\sqrt {3}÷(\sqrt {\frac {1}{3}}+\sqrt {\frac {3}{16}})= $ 。
答案:
$\frac{12}{7}$
10 如果$(2-\sqrt {3})^{2}= a+b\sqrt {3}$,其中$a$、$b$为有理数,那么$a+b$等于 。
答案:
3
11 计算$\sqrt {2}×\sqrt {6}-(\sqrt {3}+1)^{2}= $ 。
答案:
-4
查看更多完整答案,请扫码查看