2025年53精准练八年级数学下册北师大版山西专版
注:目前有些书本章节名称可能整理的还不是很完善,但都是按照顺序排列的,请同学们按照顺序仔细查找。练习册 2025年53精准练八年级数学下册北师大版山西专版 答案主要是用来给同学们做完题方便对答案用的,请勿直接抄袭。
例1 一次函数$y = kx + b$的图象如图所示.

(1)当$x$______时,$kx + b = 0$;
(2)当$x$______时,$kx + b>0$,则不等式$kx + b>0$的解集为______;
(3)当$x$______时,$kx + b<0$,则不等式$kx + b<0$的解集为______.
(1)当$x$______时,$kx + b = 0$;
(2)当$x$______时,$kx + b>0$,则不等式$kx + b>0$的解集为______;
(3)当$x$______时,$kx + b<0$,则不等式$kx + b<0$的解集为______.
答案:
(1) = 2
(2) < 2;x < 2
(3) > 2;x > 2
(1) = 2
(2) < 2;x < 2
(3) > 2;x > 2
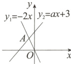
例2 如图,函数$y_1 = -2x$与$y_2 = ax + 3$的图象交于点$A(-\frac{3}{2},n)$,则关于$x$的不等式$-2x\leq ax + 3$的解集是__________.
答案:
$x\geqslant -\frac{3}{2}$
例3 甲、乙两人分别骑自行车和摩托车沿相同路线由$A$地到$B$地,图中表示他们在行驶过程中距$A$地的路程$y$(千米)和甲出发时间$x$(小时)的函数图象.
(1)$A、B$两地相距______千米;
(2)甲出发______小时后,摩托车开始领先;
(3)行驶完全程,甲比乙多用______小时;
(4)甲、乙两人在行驶途中的速度分别是______.
(1)$A、B$两地相距______千米;
(2)甲出发______小时后,摩托车开始领先;
(3)行驶完全程,甲比乙多用______小时;
(4)甲、乙两人在行驶途中的速度分别是______.
答案:
(1) 80
(2) 3
(3) 4
(4) 20千米/时,80千米/时
(1) 80
(2) 3
(3) 4
(4) 20千米/时,80千米/时
1. 如图,函数$y = kx + b(k<0)$的图象经过点$P(-1,3)$,则关于$x$的不等式$kx + b>3$的解集为______.
答案:
x < -1
2. 如图,直线$l_1:y_1=\frac{3}{2}x + 6$与直线$l_2:y_2=-\frac{5}{2}x - 2$交于点$P(-2,3)$,则不等式$y_1>y_2$的解集是 ( )
A. $x>-2$
B. $x\geq -2$
C. $x<-2$
D. $x\leq -2$
A. $x>-2$
B. $x\geq -2$
C. $x<-2$
D. $x\leq -2$
答案:
A
3. 端午节期间,甲、乙两商场出售同种小香囊的方案如图($y$表示销售额,$x$表示销售件数),要使乙商场销售小香囊的销售额不低于甲商场,则乙商场至少应销售__________件小香囊.
答案:
40
查看更多完整答案,请扫码查看