2026年新高考5年真题高中化学全一册通用版广东专版
注:目前有些书本章节名称可能整理的还不是很完善,但都是按照顺序排列的,请同学们按照顺序仔细查找。练习册 2026年新高考5年真题高中化学全一册通用版广东专版 答案主要是用来给同学们做完题方便对答案用的,请勿直接抄袭。
第31页
- 第1页
- 第2页
- 第3页
- 第4页
- 第5页
- 第6页
- 第7页
- 第8页
- 第9页
- 第10页
- 第11页
- 第12页
- 第13页
- 第14页
- 第15页
- 第16页
- 第17页
- 第18页
- 第19页
- 第20页
- 第21页
- 第22页
- 第23页
- 第24页
- 第25页
- 第26页
- 第27页
- 第28页
- 第29页
- 第30页
- 第31页
- 第32页
- 第33页
- 第34页
- 第35页
- 第36页
- 第37页
- 第38页
- 第39页
- 第40页
- 第41页
- 第42页
- 第43页
- 第44页
- 第45页
- 第46页
- 第47页
- 第48页
- 第49页
- 第50页
- 第51页
- 第52页
- 第53页
- 第54页
- 第55页
- 第56页
- 第57页
- 第58页
- 第59页
- 第60页
- 第61页
- 第62页
- 第63页
- 第64页
- 第65页
- 第66页
- 第67页
- 第68页
- 第69页
- 第70页
- 第71页
- 第72页
- 第73页
- 第74页
- 第75页
- 第76页
- 第77页
- 第78页
- 第79页
- 第80页
- 第81页
- 第82页
- 第83页
- 第84页
- 第85页
- 第86页
- 第87页
- 第88页
- 第89页
- 第90页
- 第91页
- 第92页
- 第93页
- 第94页
- 第95页
- 第96页
- 第97页
- 第98页
- 第99页
- 第100页
20. [选修3:物质结构与性质](14分)
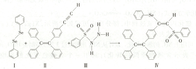
硒(Se)是人体必需微量元素之一,含硒化合物在材料和药物领域具有重要应用。自我国科学家发现聚集诱导发光(AIE)效应以来,AIE在发光材料、生物医学等领域引起广泛关注。一种含Se的新型AIE分子Ⅳ的合成路线如下:

(1)Se与S同族,基态硒原子价电子排布式为
(2)H₂Se的沸点低于H₂O,其原因是
(3)关于Ⅰ~Ⅲ三种反应物,下列说法正确的有
A. Ⅰ中仅有σ键
B. Ⅰ中的Se—Se键为非极性共价键
C. Ⅱ易溶于水
D. Ⅱ中原子的杂化轨道类型只有sp与sp²
E. Ⅰ~Ⅲ含有的元素中,O电负性最大
(4)Ⅳ中具有孤对电子的原子有
(5)硒的两种含氧酸的酸性强弱为H₂SeO₄
(6)我国科学家发展了一种理论计算方法,可利用材料的晶体结构数据预测其热电性能,该方法有助于加速新型热电材料的研发进程。化合物X是通过该方法筛选出的潜在热电材料之一,其晶胞结构如图甲,沿x、y、z轴方向的投影均为图乙。

①X的化学式为
②设X的最简式的式量为Mᵣ,晶体密度为ρ g·cm⁻³,则X中相邻K之间的最短距离为
硒(Se)是人体必需微量元素之一,含硒化合物在材料和药物领域具有重要应用。自我国科学家发现聚集诱导发光(AIE)效应以来,AIE在发光材料、生物医学等领域引起广泛关注。一种含Se的新型AIE分子Ⅳ的合成路线如下:
(1)Se与S同族,基态硒原子价电子排布式为
4s²4p⁴
。(2)H₂Se的沸点低于H₂O,其原因是
H₂O分子间存在氢键
。(3)关于Ⅰ~Ⅲ三种反应物,下列说法正确的有
BDE
。A. Ⅰ中仅有σ键
B. Ⅰ中的Se—Se键为非极性共价键
C. Ⅱ易溶于水
D. Ⅱ中原子的杂化轨道类型只有sp与sp²
E. Ⅰ~Ⅲ含有的元素中,O电负性最大
(4)Ⅳ中具有孤对电子的原子有
Se、O
。(5)硒的两种含氧酸的酸性强弱为H₂SeO₄
>
H₂SeO₃(填“>”或“<”)。研究发现,给小鼠喂食适量硒酸钠(Na₂SeO₄)可减轻重金属铊引起的中毒。SeO₄²⁻的立体构型为正四面体
。(6)我国科学家发展了一种理论计算方法,可利用材料的晶体结构数据预测其热电性能,该方法有助于加速新型热电材料的研发进程。化合物X是通过该方法筛选出的潜在热电材料之一,其晶胞结构如图甲,沿x、y、z轴方向的投影均为图乙。
①X的化学式为
K₂SeBr₆
。②设X的最简式的式量为Mᵣ,晶体密度为ρ g·cm⁻³,则X中相邻K之间的最短距离为
$\frac{1}{2}\sqrt[3]{\frac{4M_r}{\rho N_A}}×10⁷$
nm(列出计算式,Nₐ为阿伏加德罗常数的值)。
答案:
20.参考答案
(1)4s²4p⁴
(2)H₂O分子间存在氢键
(3)BDE
(4)Se、O
(5)> 正四面体
$(6)①K₂SeBr₆ ②\frac{1}{2}\sqrt[3]{\frac{4M_r}{\rho N_A}}×10⁷$
(1)4s²4p⁴
(2)H₂O分子间存在氢键
(3)BDE
(4)Se、O
(5)> 正四面体
$(6)①K₂SeBr₆ ②\frac{1}{2}\sqrt[3]{\frac{4M_r}{\rho N_A}}×10⁷$
查看更多完整答案,请扫码查看