2025年小题狂做高中数学必修第一册苏教版
注:目前有些书本章节名称可能整理的还不是很完善,但都是按照顺序排列的,请同学们按照顺序仔细查找。练习册 2025年小题狂做高中数学必修第一册苏教版 答案主要是用来给同学们做完题方便对答案用的,请勿直接抄袭。
第62页
- 第1页
- 第2页
- 第3页
- 第4页
- 第5页
- 第6页
- 第7页
- 第8页
- 第9页
- 第10页
- 第11页
- 第12页
- 第13页
- 第14页
- 第15页
- 第16页
- 第17页
- 第18页
- 第19页
- 第20页
- 第21页
- 第22页
- 第23页
- 第24页
- 第25页
- 第26页
- 第27页
- 第28页
- 第29页
- 第30页
- 第31页
- 第32页
- 第33页
- 第34页
- 第35页
- 第36页
- 第37页
- 第38页
- 第39页
- 第40页
- 第41页
- 第42页
- 第43页
- 第44页
- 第45页
- 第46页
- 第47页
- 第48页
- 第49页
- 第50页
- 第51页
- 第52页
- 第53页
- 第54页
- 第55页
- 第56页
- 第57页
- 第58页
- 第59页
- 第60页
- 第61页
- 第62页
- 第63页
- 第64页
- 第65页
- 第66页
- 第67页
- 第68页
- 第69页
- 第70页
- 第71页
- 第72页
- 第73页
- 第74页
- 第75页
- 第76页
- 第77页
- 第78页
- 第79页
- 第80页
- 第81页
- 第82页
- 第83页
- 第84页
- 第85页
- 第86页
- 第87页
- 第88页
- 第89页
- 第90页
- 第91页
- 第92页
- 第93页
- 第94页
- 第95页
- 第96页
- 第97页
- 第98页
- 第99页
- 第100页
- 第101页
- 第102页
- 第103页
- 第104页
- 第105页
- 第106页
1. 函数$f(x)=x^2+9/(1+$|x|) (
A.是奇函数
B.是偶函数
C.既是奇函数又是偶函数
D.既不是奇函数也不是偶函数
B
)A.是奇函数
B.是偶函数
C.既是奇函数又是偶函数
D.既不是奇函数也不是偶函数
答案:
1. B 由$1 + |x| \neq 0$,可得$x \in \mathbf{R}$.又$f(-x) = (-x)^2 + \frac{9}{1 + |-x|} = x^2 + \frac{9}{1 + |x|} = f(x)$,所以$f(x)$为偶函数.
2. 已知偶函数f(x)在区间[1,3]上单调递增且存在最大值M,则函数f(x)在区间[-3,-1]上 (
A.单调递增且最大值为M
B.单调递增且最小值为-M
C.单调递减且最大值为M
D.单调递减且最小值为-M
C
)A.单调递增且最大值为M
B.单调递增且最小值为-M
C.单调递减且最大值为M
D.单调递减且最小值为-M
答案:
2. C 因为$f(x)$为偶函数,所以$f(x)$的图象关于$y$轴对称.又$f(x)$在区间$[1,3]$上单调递增且存在最大值$M$,所以$f(x)$在$[-3,-1]$上单调递减且存在最大值$M$.
3. 已知函数$f(x)=ax^3+bx+1,$若f(3)=7,则f(-3)= (
A.-5
B.-3
C.3
D.5
A
)A.-5
B.-3
C.3
D.5
答案:
3. A 函数$f(x) = ax^3 + bx + 1$的定义域为$\mathbf{R}$,令$g(x) = f(x) - 1 = ax^3 + bx$,定义域为$\mathbf{R}$,$g(-x) = a(-x)^3 + b(-x) = -(ax^3 + bx) = -g(x)$,即函数$g(x)$是奇函数.于是$g(-3) + g(3) = 0$,即$f(-3) - 1 + f(3) - 1 = 0$,则$f(-3) + 7 - 2 = 0$,所以$f(-3) = -5$.
4. 已知函数f(x)为定义在R上的奇函数,下列说法错误的是 (
A.在R上,|f(x)|=|f(-x)|
B.在R上$,[f(x)]^3+[f(-x)]^3=0$
C.存在$x_0∈R,f(x_0)+f(-x_0)≠0$
D.存在$x_1,x_2∈R,f(x_1^3)+f(x_2^3)=0$
C
)A.在R上,|f(x)|=|f(-x)|
B.在R上$,[f(x)]^3+[f(-x)]^3=0$
C.存在$x_0∈R,f(x_0)+f(-x_0)≠0$
D.存在$x_1,x_2∈R,f(x_1^3)+f(x_2^3)=0$
答案:
4. C 因为函数$f(x)$为定义在$\mathbf{R}$上的奇函数,所以对于任意$x \in \mathbf{R}$,$f(-x) = -f(x)$,即$f(-x) + f(x) = 0$,所以$|f(-x)| = |-f(x)| = |f(x)|$,$[f(x)]^3 + [f(-x)]^3 = [f(x)]^3 + [-f(x)]^3 = [f(x)]^3 - [f(x)]^3 = 0$,$f(x^3) + f[(-x)^3] = f(x^3) + f(-x^3) = f(x^3) - f(x^3) = 0$,所以A,B,D正确,C错误.
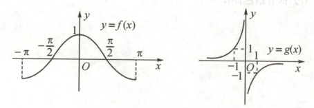
5. 已知函数f(x),g(x)的图象如图所示,

则函数y=f(x)·g(x)的图象可能是 (

则函数y=f(x)·g(x)的图象可能是 (
A
)
答案:
5. A 由图象知函数$f(x)$是偶函数,函数$g(x)$是奇函数,故$y = f(x) · g(x)$是奇函数,且在$x = 0$处没有意义.
6. 已知偶函数$f(x)$的定义域为$\mathbf{R}$,当$x\in[0,+\infty)$时,$f(x)=\frac{2 - x}{x + 1}$,则$f(x - 1)\lt1$的解集为( )
A. $(\frac{1}{2},\frac{3}{2})$
B. $(-\infty,\frac{1}{2})$
C. $(\frac{3}{2},+\infty)$
D. $(-\infty,\frac{1}{2})\cup(\frac{3}{2},+\infty)$
A. $(\frac{1}{2},\frac{3}{2})$
B. $(-\infty,\frac{1}{2})$
C. $(\frac{3}{2},+\infty)$
D. $(-\infty,\frac{1}{2})\cup(\frac{3}{2},+\infty)$
答案:
6. D 因为$f(x) = \frac{2 - x}{x + 1} = \frac{-(x + 1) + 3}{x + 1} = -1 + \frac{3}{x + 1}$,所以$f(x)$在$[0, +\infty)$上单调递减.又$f(x)$为偶函数,$f(\frac{1}{2}) = 1$,由$f(x - 1) < 1$,得$f(|x - 1|) < f(\frac{1}{2})$,所以$|x - 1| > \frac{1}{2}$,解得$x < \frac{1}{2}$或$x > \frac{3}{2}$,所以$f(x - 1) < 1$的解集为$(-\infty, \frac{1}{2}) \cup (\frac{3}{2}, +\infty)$.
方法总结 根据偶函数的单调性求解不等式$f(x_1) < f(x_2)$,常利用偶函数的性质将不等式$f(x_1) < f(x_2)$转化为$f(|x_1|) < f(|x_2|)$,从而利用函数$f(x)$在$[0, +\infty)$上的单调性来脱去“$f$”进行解题,这样可以避免分类讨论.
方法总结 根据偶函数的单调性求解不等式$f(x_1) < f(x_2)$,常利用偶函数的性质将不等式$f(x_1) < f(x_2)$转化为$f(|x_1|) < f(|x_2|)$,从而利用函数$f(x)$在$[0, +\infty)$上的单调性来脱去“$f$”进行解题,这样可以避免分类讨论.
7. 设函数f(x)对任意x∈R均满足f(-x)=f(x),且对任意不相等的两数a,b∈[0,+∞),恒有$\frac{f(a)-f(b)}{a-b}<0$,则下列说法正确的是 (
A.f(-3)<f(2)<f(-1)
B.f(x)在[0,+∞)上是增函数
C.f(-3)>f(2)>f(-1)
D.f(x)在R上是偶函数
AD
)A.f(-3)<f(2)<f(-1)
B.f(x)在[0,+∞)上是增函数
C.f(-3)>f(2)>f(-1)
D.f(x)在R上是偶函数
答案:
7. AD 因为$f(x)$的定义域为$\mathbf{R}$,关于原点对称,且满足$f(-x) = f(x)$,所以$f(x)$在$\mathbf{R}$上是偶函数,故D正确;因为对任意不相等的$a,b \in [0, +\infty)$,均有$\frac{f(a) - f(b)}{a - b} < 0$,所以$f(x)$在$[0, +\infty)$上是减函数,故B错误;因为$f(-x) = f(x)$,所以$f(-1) = f(1)$,$f(-3) = f(3)$,因为$f(x)$在$[0, +\infty)$上是减函数,所以$f(3) < f(2) < f(1)$,故$f(-3) < f(2) < f(-1)$成立,故A正确,C错误.
查看更多完整答案,请扫码查看