2025年金版新学案高中生物必修1人教版
注:目前有些书本章节名称可能整理的还不是很完善,但都是按照顺序排列的,请同学们按照顺序仔细查找。练习册 2025年金版新学案高中生物必修1人教版 答案主要是用来给同学们做完题方便对答案用的,请勿直接抄袭。
第92页
- 第1页
- 第2页
- 第3页
- 第4页
- 第5页
- 第6页
- 第7页
- 第8页
- 第9页
- 第10页
- 第11页
- 第12页
- 第13页
- 第14页
- 第15页
- 第16页
- 第17页
- 第18页
- 第19页
- 第20页
- 第21页
- 第22页
- 第23页
- 第24页
- 第25页
- 第26页
- 第27页
- 第28页
- 第29页
- 第30页
- 第31页
- 第32页
- 第33页
- 第34页
- 第35页
- 第36页
- 第37页
- 第38页
- 第39页
- 第40页
- 第41页
- 第42页
- 第43页
- 第44页
- 第45页
- 第46页
- 第47页
- 第48页
- 第49页
- 第50页
- 第51页
- 第52页
- 第53页
- 第54页
- 第55页
- 第56页
- 第57页
- 第58页
- 第59页
- 第60页
- 第61页
- 第62页
- 第63页
- 第64页
- 第65页
- 第66页
- 第67页
- 第68页
- 第69页
- 第70页
- 第71页
- 第72页
- 第73页
- 第74页
- 第75页
- 第76页
- 第77页
- 第78页
- 第79页
- 第80页
- 第81页
- 第82页
- 第83页
- 第84页
- 第85页
- 第86页
- 第87页
- 第88页
- 第89页
- 第90页
- 第91页
- 第92页
- 第93页
- 第94页
- 第95页
- 第96页
- 第97页
- 第98页
- 第99页
- 第100页
- 第101页
- 第102页
- 第103页
- 第104页
- 第105页
- 第106页
- 第107页
- 第108页
- 第109页
- 第110页
- 第111页
- 第112页
- 第113页
- 第114页
- 第115页
- 第116页
- 第117页
- 第118页
- 第119页
- 第120页
- 第121页
- 第122页
- 第123页
- 第124页
- 第125页
- 第126页
- 第127页
- 第128页
- 第129页
- 第130页
- 第131页
- 第132页
1. 酶活性
(1)概念:酶____称为酶活性。
(2)表示方法:可用在一定条件下____表示。
(1)概念:酶____称为酶活性。
(2)表示方法:可用在一定条件下____表示。
答案:
1.
(1)催化特定化学反应的能力
(2)酶所催化某一化学反应的速率
(1)催化特定化学反应的能力
(2)酶所催化某一化学反应的速率
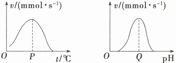
2. 酶的作用条件较温和
(1)酶所催化的化学反应一般是在____的条件下进行的。过酸、过碱或温度过高,会使酶的____遭到破坏,使酶永久____。低温只能使酶的活性____,但酶的空间结构稳定,在适宜的温度下酶的活性会____。
(2)曲线分析:

① $P$ 点为____温度;$Q$ 点为____ $pH$。
② 偏离 $P$ 点或 $Q$ 点:酶的活性____。
③ 过酸、过碱或温度过高:酶____。
微思考(教材 $P_{84}$ “相关信息”)
唾液淀粉酶随食物进入胃内就会失活,原因是____。
(1)酶所催化的化学反应一般是在____的条件下进行的。过酸、过碱或温度过高,会使酶的____遭到破坏,使酶永久____。低温只能使酶的活性____,但酶的空间结构稳定,在适宜的温度下酶的活性会____。
(2)曲线分析:
① $P$ 点为____温度;$Q$ 点为____ $pH$。
② 偏离 $P$ 点或 $Q$ 点:酶的活性____。
③ 过酸、过碱或温度过高:酶____。
微思考(教材 $P_{84}$ “相关信息”)
唾液淀粉酶随食物进入胃内就会失活,原因是____。
答案:
2.
(1)比较温和 空间结构 失活 降低 升高
(2)①最适最适 ②降低 ③失活
[微思考] 唾液淀粉酶的最适pH为6.8,而胃液的pH为0.9~1.5,唾液淀粉酶进入胃后因pH过低而失活
(1)比较温和 空间结构 失活 降低 升高
(2)①最适最适 ②降低 ③失活
[微思考] 唾液淀粉酶的最适pH为6.8,而胃液的pH为0.9~1.5,唾液淀粉酶进入胃后因pH过低而失活
3. 细胞代谢有序进行的原因
(1)原因:细胞中的各类化学反应之所以能有序进行,还与____在细胞中的分布有关。
(2)实例:植物叶肉细胞中,与光合作用有关的酶分布在叶绿体内,与呼吸作用有关的酶分布在细胞质基质和线粒体内,这样,光合作用与呼吸作用在细胞内不同的区室同时进行,就可以互不干扰了。
(1)原因:细胞中的各类化学反应之所以能有序进行,还与____在细胞中的分布有关。
(2)实例:植物叶肉细胞中,与光合作用有关的酶分布在叶绿体内,与呼吸作用有关的酶分布在细胞质基质和线粒体内,这样,光合作用与呼吸作用在细胞内不同的区室同时进行,就可以互不干扰了。
答案:
3.
(1)酶
(1)酶
【自我诊断】
1. 高温和低温均能破坏酶的结构使其失去活性。( )
2. 酶活性最高时的温度适合酶的保存。( )
3. 酶促反应速率既可以用反应物的消耗速率表示,也可以用产物的生成速率表示。( )
4. 探究影响酶活性的条件实验中,至少要设置三组实验。( )
5. 市售 $\alpha -$ 淀粉酶的最适温度在 $50 \sim 75^{\circ}C$,而来自人体的唾液淀粉酶的最适温度在 $37^{\circ}C$ 左右。( )
1. 高温和低温均能破坏酶的结构使其失去活性。( )
2. 酶活性最高时的温度适合酶的保存。( )
3. 酶促反应速率既可以用反应物的消耗速率表示,也可以用产物的生成速率表示。( )
4. 探究影响酶活性的条件实验中,至少要设置三组实验。( )
5. 市售 $\alpha -$ 淀粉酶的最适温度在 $50 \sim 75^{\circ}C$,而来自人体的唾液淀粉酶的最适温度在 $37^{\circ}C$ 左右。( )
答案:
1.× 2.× 3.√ 4.√ 5.√
材料:如下表为探究温度对酶活性的影响实验操作步骤,分析回答有关问题。
(1)该实验的自变量是什么?实验是否要保持酶的最适 $pH$ 条件?$pH$ 在该实验中属于什么变量?

(2)能否用过氧化氢溶液来探究温度对酶活性的影响?
(3)在“探究温度对淀粉酶活性的影响”的实验中能否用斐林试剂来检测?
(4)淀粉和淀粉酶为什么要预热到同一温度再混合?
(5)该实验的结论是____。
(1)该实验的自变量是什么?实验是否要保持酶的最适 $pH$ 条件?$pH$ 在该实验中属于什么变量?
(2)能否用过氧化氢溶液来探究温度对酶活性的影响?
(3)在“探究温度对淀粉酶活性的影响”的实验中能否用斐林试剂来检测?
(4)淀粉和淀粉酶为什么要预热到同一温度再混合?
(5)该实验的结论是____。
答案:
(1)该实验的自变量是温度。该实验需要在酶的最适pH条件下进行。pH在该实验中属于无关变量。
(2)不能。探究温度对酶活性的影响时,自变量是温度,而过氧化氢会随温度升高而分解加快,从而影响实验结果。
(3)不能。因为斐林试剂与还原糖只有在加热的条件下才有砖红色沉淀生成,而该实验需严格控制温度。
(4)严格控制实验的自变量,以免底物与酶接触时未达到预设温度而影响实验结果,增强实验的说服力。
(5)温度偏高或者偏低都会影响酶的活性,使酶活性降低
(1)该实验的自变量是温度。该实验需要在酶的最适pH条件下进行。pH在该实验中属于无关变量。
(2)不能。探究温度对酶活性的影响时,自变量是温度,而过氧化氢会随温度升高而分解加快,从而影响实验结果。
(3)不能。因为斐林试剂与还原糖只有在加热的条件下才有砖红色沉淀生成,而该实验需严格控制温度。
(4)严格控制实验的自变量,以免底物与酶接触时未达到预设温度而影响实验结果,增强实验的说服力。
(5)温度偏高或者偏低都会影响酶的活性,使酶活性降低
查看更多完整答案,请扫码查看