第63页
- 第1页
- 第2页
- 第3页
- 第4页
- 第5页
- 第6页
- 第7页
- 第8页
- 第9页
- 第10页
- 第11页
- 第12页
- 第13页
- 第14页
- 第15页
- 第16页
- 第17页
- 第18页
- 第19页
- 第20页
- 第21页
- 第22页
- 第23页
- 第24页
- 第25页
- 第26页
- 第27页
- 第28页
- 第29页
- 第30页
- 第31页
- 第32页
- 第33页
- 第34页
- 第35页
- 第36页
- 第37页
- 第38页
- 第39页
- 第40页
- 第41页
- 第42页
- 第43页
- 第44页
- 第45页
- 第46页
- 第47页
- 第48页
- 第49页
- 第50页
- 第51页
- 第52页
- 第53页
- 第54页
- 第55页
- 第56页
- 第57页
- 第58页
- 第59页
- 第60页
- 第61页
- 第62页
- 第63页
- 第64页
- 第65页
- 第66页
- 第67页
- 第68页
- 第69页
- 第70页
- 第71页
- 第72页
- 第73页
- 第74页
- 第75页
- 第76页
- 第77页
- 第78页
- 第79页
- 第80页
- 第81页
- 第82页
- 第83页
- 第84页
- 第85页
- 第86页
- 第87页
- 第88页
- 第89页
- 第90页
- 第91页
- 第92页
- 第93页
- 第94页
- 第95页
- 第96页
- 第97页
- 第98页
- 第99页
- 第100页
- 第101页
- 第102页
- 第103页
- 第104页
- 第105页
- 第106页
- 第107页
- 第108页
- 第109页
- 第110页
- 第111页
- 第112页
1. [物理与生活]下列用电器正常工作时,电流大约为 $ 1A $ 的是(
A.家用电冰箱的电流
B.计算器中电源的电流
C.手电筒通过灯丝的电流
D.手机充电的电流
A
)A.家用电冰箱的电流
B.计算器中电源的电流
C.手电筒通过灯丝的电流
D.手机充电的电流
答案:
A
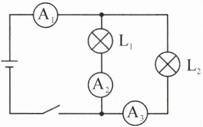
2. 如图所示,关于电流表的说法正确的是(

A.电流表 $ A_1 $ 测量通过灯 $ L_1 $ 的电流
B.电流表 $ A_2 $ 测量通过灯 $ L_2 $ 的电流
C.电流表 $ A_3 $ 测量通过灯 $ L_1 $ 和 $ L_2 $ 的总电流
D.电流表 $ A_1 $ 测量通过灯 $ L_1 $ 和 $ L_2 $ 的总电流
D
)A.电流表 $ A_1 $ 测量通过灯 $ L_1 $ 的电流
B.电流表 $ A_2 $ 测量通过灯 $ L_2 $ 的电流
C.电流表 $ A_3 $ 测量通过灯 $ L_1 $ 和 $ L_2 $ 的总电流
D.电流表 $ A_1 $ 测量通过灯 $ L_1 $ 和 $ L_2 $ 的总电流
答案:
D
3. 在学习了电流表的使用后,小莉连接了如图所示的电路,下列说法正确的是(

A.闭合开关,灯 $ L_1 $、$ L_2 $ 均发光
B.闭合开关,电流表有示数
C.仅将导线①的左端改接到灯 $ L_1 $ 左端,闭合开关,灯 $ L_1 $ 和 $ L_2 $ 并联,电流表测量灯 $ L_1 $ 中的电流
D.仅撤掉导线②,闭合开关,灯 $ L_1 $ 和 $ L_2 $ 串联,电流表能测量 $ L_1 $ 和 $ L_2 $ 中的电流
D
)A.闭合开关,灯 $ L_1 $、$ L_2 $ 均发光
B.闭合开关,电流表有示数
C.仅将导线①的左端改接到灯 $ L_1 $ 左端,闭合开关,灯 $ L_1 $ 和 $ L_2 $ 并联,电流表测量灯 $ L_1 $ 中的电流
D.仅撤掉导线②,闭合开关,灯 $ L_1 $ 和 $ L_2 $ 串联,电流表能测量 $ L_1 $ 和 $ L_2 $ 中的电流
答案:
D
4. 如图所示,小强把电流表并联在灯 $ L_1 $ 的两端。此时闭合开关,一定会发生的是(

A.电源短路
B.电流表损坏
C.灯 $ L_2 $ 的灯丝烧断
D.灯 $ L_1 $ 不亮
D
)A.电源短路
B.电流表损坏
C.灯 $ L_2 $ 的灯丝烧断
D.灯 $ L_1 $ 不亮
答案:
D
5. 如图甲是用电流表测量电流的实验电路,请正确回答以下问题:

(1)电流表使用前,应检查指针是否对准______,如果有偏差,需先“校零”。
(2)连接电路时,开关应断开,电流表必须______联在被测的那部分电路中,且应选用合适的量程,使电流从电流表的______流出。
(3)图甲是某同学连接好的电路,合上开关后,此时电流表测灯______的电流,如果电流表的示数如图乙所示,则经过该灯的电流大小是______A。
(4)请在图甲中某根导线上画“×”号,并用笔画线代替导线,将该导线正确改接到另一接线柱,使电流表变为测干路中的电流。
(1)电流表使用前,应检查指针是否对准______,如果有偏差,需先“校零”。
(2)连接电路时,开关应断开,电流表必须______联在被测的那部分电路中,且应选用合适的量程,使电流从电流表的______流出。
(3)图甲是某同学连接好的电路,合上开关后,此时电流表测灯______的电流,如果电流表的示数如图乙所示,则经过该灯的电流大小是______A。
(4)请在图甲中某根导线上画“×”号,并用笔画线代替导线,将该导线正确改接到另一接线柱,使电流表变为测干路中的电流。
答案:
(1)零刻度线
(2)串 负接线柱
(3)L₁ 0.52
(4)如图所示.
(1)零刻度线
(2)串 负接线柱
(3)L₁ 0.52
(4)如图所示.
查看更多完整答案,请扫码查看