2. 我们通常学习的数都是十进制数,使用的数码共有 10 个:0,1,2,3,4,5,6,7,8,9,表示具体数时采用“逢十进一”的原则,比如:4 123 = 4×10³ + 1×10² + 2×10¹ + 3×10⁰(这里我们规定:a ≠ 0 时,a⁰ = 1),又如:$\frac{1}{8}=0.125 = 1×\frac{1}{10} + 2×\frac{1}{10²} + 5×\frac{1}{10³}$。而现代的计算机和依赖计算机的设备都使用二进制数,用到的数码只有两个:0 和 1,表示具体数时“逢二进一”。二进制数和十进制数可以互相转化,二进制数的运算也和十进制数的运算类似。
①我们可以把十进制整数转化成二进制整数。比如:103 = 1×2⁶ + 1×2⁵ + 0×2⁴ + 0×2³ + 1×2² + 1×2¹ + 1×2⁰,所以 103 用二进制数码表示是 1100111,记为 103 = (1100111)₂。
②也可以把十进制分数或者小数转化为二进制小数,比如:0.125 = $\frac{1}{8}=0×\frac{1}{2} + 0×\frac{1}{2²} + 1×\frac{1}{2³}$,所以 $\frac{1}{8}$ 可以表示成二进制小数 (0.001)₂,记为 $\frac{1}{8}=(0.001)₂$。
这里还可以把分子 1 和分母 8 都转化为二进制数,在二进制下用分子除以分母得到 $\frac{1}{8}$ 的二进制小数表示:
由于 1 = (1)₂,8 = (1000)₂,所以 $\frac{1}{8}=\frac{(1)₂}{(1000)₂}$,而 $\frac{(1)₂}{(1000)₂}=(1)₂÷(1000)₂$,可以类比十进制数一样做除法,只是商和余数都只能是 0 或 1:
所以 $\frac{1}{8}=(0.001)₂$。
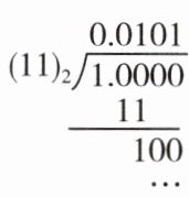
③与十进制数类似,二进制也有循环小数,比如:0.$\dot{3}$ = $\frac{1}{3}=\frac{(1)₂}{(11)₂}=(1)₂÷(11)₂$,由
,可知 $\frac{1}{3}=(0.\dot{0}\dot{1})₂$。
问题解决:
(1) 将十进制数 35 化成二进制数为 ______,二进制小数 (0.101)₂ 化为十进制分数是 ______。
(2) 将十进制分数化成二进制小数:$\frac{5}{32}=($_________$)₂$。
(3) 在十进制中,循环小数都可以化为分数,比如:将 0.$\dot{6}$ 化为分数形式。
设 x = 0.$\dot{6}$ = 0.666 66……,则 10x = 6.$\dot{6}$ = 6.666 66……,
故 10x - x = 6,即 x = $\frac{2}{3}$,于是得到 0.$\dot{6}$ = $\frac{2}{3}$。
同样,二进制中的循环小数也可以用类似的方法化为十进制分数。
例如:将二进制循环小数 (0.00$\dot{1}$$\dot{0}$$\dot{1}$)₂ 化成十进制分数。
设 y = (0.00$\dot{1}$$\dot{0}$$\dot{1}$)₂,则 2³y = (1.0$\dot{1}$$\dot{0}$$\dot{1}$)₂……
请将上述过程补充完整。
①我们可以把十进制整数转化成二进制整数。比如:103 = 1×2⁶ + 1×2⁵ + 0×2⁴ + 0×2³ + 1×2² + 1×2¹ + 1×2⁰,所以 103 用二进制数码表示是 1100111,记为 103 = (1100111)₂。
②也可以把十进制分数或者小数转化为二进制小数,比如:0.125 = $\frac{1}{8}=0×\frac{1}{2} + 0×\frac{1}{2²} + 1×\frac{1}{2³}$,所以 $\frac{1}{8}$ 可以表示成二进制小数 (0.001)₂,记为 $\frac{1}{8}=(0.001)₂$。
这里还可以把分子 1 和分母 8 都转化为二进制数,在二进制下用分子除以分母得到 $\frac{1}{8}$ 的二进制小数表示:
由于 1 = (1)₂,8 = (1000)₂,所以 $\frac{1}{8}=\frac{(1)₂}{(1000)₂}$,而 $\frac{(1)₂}{(1000)₂}=(1)₂÷(1000)₂$,可以类比十进制数一样做除法,只是商和余数都只能是 0 或 1:
③与十进制数类似,二进制也有循环小数,比如:0.$\dot{3}$ = $\frac{1}{3}=\frac{(1)₂}{(11)₂}=(1)₂÷(11)₂$,由
问题解决:
(1) 将十进制数 35 化成二进制数为 ______,二进制小数 (0.101)₂ 化为十进制分数是 ______。
(2) 将十进制分数化成二进制小数:$\frac{5}{32}=($_________$)₂$。
(3) 在十进制中,循环小数都可以化为分数,比如:将 0.$\dot{6}$ 化为分数形式。
设 x = 0.$\dot{6}$ = 0.666 66……,则 10x = 6.$\dot{6}$ = 6.666 66……,
故 10x - x = 6,即 x = $\frac{2}{3}$,于是得到 0.$\dot{6}$ = $\frac{2}{3}$。
同样,二进制中的循环小数也可以用类似的方法化为十进制分数。
例如:将二进制循环小数 (0.00$\dot{1}$$\dot{0}$$\dot{1}$)₂ 化成十进制分数。
设 y = (0.00$\dot{1}$$\dot{0}$$\dot{1}$)₂,则 2³y = (1.0$\dot{1}$$\dot{0}$$\dot{1}$)₂……
请将上述过程补充完整。
答案:
(1) 100011;$\frac{5}{8}$
(2) 0.00101
(3) 设$y=(0.00\dot{1}\dot{0}\dot{1})_2$,则$2^3y=(1.0\dot{1}\dot{0}\dot{1})_2$…① $2^6y=(101.0\dot{1}\dot{0}\dot{1})_2$…② ②-①得:$(2^6-2^3)y=(101.0\dot{1}\dot{0}\dot{1}-1.0\dot{1}\dot{0}\dot{1})_2$ 即$56y=100_2$ $56y=4$ $y=\frac{1}{14}$
(1) 100011;$\frac{5}{8}$
(2) 0.00101
(3) 设$y=(0.00\dot{1}\dot{0}\dot{1})_2$,则$2^3y=(1.0\dot{1}\dot{0}\dot{1})_2$…① $2^6y=(101.0\dot{1}\dot{0}\dot{1})_2$…② ②-①得:$(2^6-2^3)y=(101.0\dot{1}\dot{0}\dot{1}-1.0\dot{1}\dot{0}\dot{1})_2$ 即$56y=100_2$ $56y=4$ $y=\frac{1}{14}$
查看更多完整答案,请扫码查看