第73页
- 第1页
- 第2页
- 第3页
- 第4页
- 第5页
- 第6页
- 第7页
- 第8页
- 第9页
- 第10页
- 第11页
- 第12页
- 第13页
- 第14页
- 第15页
- 第16页
- 第17页
- 第18页
- 第19页
- 第20页
- 第21页
- 第22页
- 第23页
- 第24页
- 第25页
- 第26页
- 第27页
- 第28页
- 第29页
- 第30页
- 第31页
- 第32页
- 第33页
- 第34页
- 第35页
- 第36页
- 第37页
- 第38页
- 第39页
- 第40页
- 第41页
- 第42页
- 第43页
- 第44页
- 第45页
- 第46页
- 第47页
- 第48页
- 第49页
- 第50页
- 第51页
- 第52页
- 第53页
- 第54页
- 第55页
- 第56页
- 第57页
- 第58页
- 第59页
- 第60页
- 第61页
- 第62页
- 第63页
- 第64页
- 第65页
- 第66页
- 第67页
- 第68页
- 第69页
- 第70页
- 第71页
- 第72页
- 第73页
- 第74页
- 第75页
- 第76页
- 第77页
- 第78页
- 第79页
- 第80页
- 第81页
- 第82页
- 第83页
- 第84页
- 第85页
- 第86页
- 第87页
- 第88页
- 第89页
- 第90页
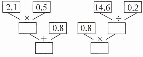
1. 在$□$里填数,并列出综合算式。

综合算式:
综合算式:
综合算式:
2.1×0.5+0.8=1.85
综合算式:
0.8×(14.6÷0.2)=58.4
答案:
1.05 1.85 2.1×0.5+0.8=1.85 73 58.4 0.8×(14.6÷0.2)=58.4
$0.4×7.8×2.5= 0.4×$
$12-4.3-5.7= 12-$(
$12.5×(8-0.8)=$
$58.9×99+58.9= 58.9×$(
2.5
×
$7.8$$12-4.3-5.7= 12-$(
4.3
+
5.7
)$12.5×(8-0.8)=$
12.5
×8
-
12.5
×0.8
$58.9×99+58.9= 58.9×$(
99
+
1
)
答案:
2.5 × 4.3 + 5.7 12.5 × 8 - 12.5 × 0.8 99 + 1
3. 说说下面各题的运算顺序,再计算。
$0.4+9.6÷0.5$
$0.6×(1.7+2.3)÷0.48$
$9.2-4.8+0.2$
$8.5÷[(1.3+0.4)×0.5]$
$0.4+9.6÷0.5$
$0.6×(1.7+2.3)÷0.48$
$9.2-4.8+0.2$
$8.5÷[(1.3+0.4)×0.5]$
答案:
0.4+9.6÷0.5=0.4+19.2=19.6 0.6×(1.7+2.3)÷0.48=0.6×4÷0.48=2.4÷0.48=5 9.2-4.8+0.2=4.4+0.2=4.6 8.5÷[(1.3+0.4)×0.5]=8.5÷(1.7×0.5)=8.5÷0.85=10
4. 用简便方法计算下面各题。
$8.27+7.52+1.73$ $2.5×0.89×4$
$12-1.78-1.22$ $5.5×8.2+1.8×5.5$
$8.27+7.52+1.73$ $2.5×0.89×4$
$12-1.78-1.22$ $5.5×8.2+1.8×5.5$
答案:
8.27+7.52+1.73=8.27+1.73+7.52=10+7.52=17.52 2.5×0.89×4=2.5×4×0.89=10×0.89=8.9 12-1.78-1.22=12-(1.78+1.22)=12-3=9 5.5×8.2+1.8×5.5=5.5×(8.2+1.8)=5.5×10=55
1. 比一比,算一算。
(1)$18.5-8.5×0.5$ $(18.5-8.5)×0.5$
(2)$35.5-(9.4+5.5)$ $35.5-(9.4-5.5)$
(3)$4.8×6+4.8×4$ $4.8÷6+4.8÷4$
(4)$10.4÷2.5×4$ $1.5×4÷1.5×4$
(1)$18.5-8.5×0.5$ $(18.5-8.5)×0.5$
(2)$35.5-(9.4+5.5)$ $35.5-(9.4-5.5)$
(3)$4.8×6+4.8×4$ $4.8÷6+4.8÷4$
(4)$10.4÷2.5×4$ $1.5×4÷1.5×4$
答案:
(1)18.5-8.5×0.5=18.5-4.25=14.25 (18.5-8.5)×0.5=10×0.5=5 (2)35.5-(9.4+5.5)=35.5-5.5-9.4=30-9.4=20.6 35.5-(9.4-5.5)=35.5+5.5-9.4=41-9.4=31.6 (3)4.8×6+4.8×4=4.8×(6+4)=4.8×10=48 4.8÷6+4.8÷4=0.8+1.2=2 (4)10.4÷2.5×4=4.16×4=16.64 1.5×4÷1.5×4=1.5÷1.5×4×4=16
2. 妈妈买$0.5千克草莓用了8.4$元,买$1.5千克橘子用了14.4$元。草莓的单价是橘子的几倍?(列综合算式解答)
答案:
8.4÷0.5÷(14.4÷1.5)=16.8÷9.6=1.75
查看更多完整答案,请扫码查看