2025年智趣暑假作业七年级合订本
注:目前有些书本章节名称可能整理的还不是很完善,但都是按照顺序排列的,请同学们按照顺序仔细查找。练习册 2025年智趣暑假作业七年级合订本 答案主要是用来给同学们做完题方便对答案用的,请勿直接抄袭。
第40页
- 第1页
- 第2页
- 第3页
- 第4页
- 第5页
- 第6页
- 第7页
- 第8页
- 第9页
- 第10页
- 第11页
- 第12页
- 第13页
- 第14页
- 第15页
- 第16页
- 第17页
- 第18页
- 第19页
- 第20页
- 第21页
- 第22页
- 第23页
- 第24页
- 第25页
- 第26页
- 第27页
- 第28页
- 第29页
- 第30页
- 第31页
- 第32页
- 第33页
- 第34页
- 第35页
- 第36页
- 第37页
- 第38页
- 第39页
- 第40页
- 第41页
- 第42页
- 第43页
- 第44页
- 第45页
- 第46页
- 第47页
- 第48页
- 第49页
- 第50页
- 第51页
- 第52页
- 第53页
- 第54页
- 第55页
- 第56页
- 第57页
- 第58页
- 第59页
- 第60页
- 第61页
- 第62页
- 第63页
- 第64页
- 第65页
- 第66页
- 第67页
- 第68页
- 第69页
- 第70页
- 第71页
- 第72页
3. 如图,直线$l_{1}// l_{2},∠α= ∠β,∠1= 40^{\circ }$,则$∠2= $
140°
.
答案:
解:延长∠α的一边交$l_{2}$于点A。
∵$l_{1}// l_{2}$,
∴∠1=∠3=40°(两直线平行,内错角相等)。
∵∠α=∠β,
∴AB//CD(内错角相等,两直线平行)。
∴∠2+∠3=180°(两直线平行,同旁内角互补)。
∴∠2=180°-∠3=180°-40°=140°。
140°
∵$l_{1}// l_{2}$,
∴∠1=∠3=40°(两直线平行,内错角相等)。
∵∠α=∠β,
∴AB//CD(内错角相等,两直线平行)。
∴∠2+∠3=180°(两直线平行,同旁内角互补)。
∴∠2=180°-∠3=180°-40°=140°。
140°
1. 如图,$E为DF$上一点,$B为AC$上一点,$∠1= ∠2,∠C= ∠D$. 试说明$DF// AC$.

答案:
证明:
∵∠1与∠3是对顶角,
∴∠1=∠3,
∵∠1=∠2,
∴∠2=∠3,
∴DB//EC,
∴∠C=∠DBA,
∵∠C=∠D,
∴∠DBA=∠D,
∴DF//AC.
∵∠1与∠3是对顶角,
∴∠1=∠3,
∵∠1=∠2,
∴∠2=∠3,
∴DB//EC,
∴∠C=∠DBA,
∵∠C=∠D,
∴∠DBA=∠D,
∴DF//AC.
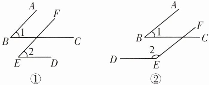
2. 已知一个角的两边与另一个角的两边分别平行,结合图形探索这两个角的关系.
(1)如图①,$AB// EF,BC// ED$,试说明$∠1与∠2$的大小关系,并说明理由;
(2)如图②,$AB// EF,BC// DE$,试说明$∠1与∠2$的大小关系,并说明理由;
(3)经过探索,综合上述,我们可以得到一个真命题是____.

(1)如图①,$AB// EF,BC// ED$,试说明$∠1与∠2$的大小关系,并说明理由;
(2)如图②,$AB// EF,BC// DE$,试说明$∠1与∠2$的大小关系,并说明理由;
(3)经过探索,综合上述,我们可以得到一个真命题是____.
答案:
解:(1)∠1=∠2.理由如下:如图①.
∵AB//EF,
∴∠1=∠3.
∵BC//ED,
∴∠2=∠3.
∴∠1=∠2.
(2)∠1+∠2=180°.理由如下:如图②.
∵AB//EF,
∴∠1=∠3.
∵BC//DE,
∴∠3+∠2=180°.
∴∠1+∠2=180°.
(3)如果一个角的两边与另一个角的两边分别平行,那么这两个角相等或互补
解:(1)∠1=∠2.理由如下:如图①.
∵AB//EF,
∴∠1=∠3.
∵BC//ED,
∴∠2=∠3.
∴∠1=∠2.
(2)∠1+∠2=180°.理由如下:如图②.
∵AB//EF,
∴∠1=∠3.
∵BC//DE,
∴∠3+∠2=180°.
∴∠1+∠2=180°.
(3)如果一个角的两边与另一个角的两边分别平行,那么这两个角相等或互补
查看更多完整答案,请扫码查看