2025年暑假大串联安徽人民出版社七年级数学北师大版
注:目前有些书本章节名称可能整理的还不是很完善,但都是按照顺序排列的,请同学们按照顺序仔细查找。练习册 2025年暑假大串联安徽人民出版社七年级数学北师大版 答案主要是用来给同学们做完题方便对答案用的,请勿直接抄袭。
第19页
- 第1页
- 第2页
- 第3页
- 第4页
- 第5页
- 第6页
- 第7页
- 第8页
- 第9页
- 第10页
- 第11页
- 第12页
- 第13页
- 第14页
- 第15页
- 第16页
- 第17页
- 第18页
- 第19页
- 第20页
- 第21页
- 第22页
- 第23页
- 第24页
- 第25页
- 第26页
- 第27页
- 第28页
- 第29页
- 第30页
- 第31页
- 第32页
- 第33页
- 第34页
- 第35页
- 第36页
- 第37页
- 第38页
- 第39页
- 第40页
- 第41页
- 第42页
- 第43页
- 第44页
- 第45页
- 第46页
- 第47页
- 第48页
- 第49页
- 第50页
- 第51页
- 第52页
- 第53页
- 第54页
- 第55页
- 第56页
- 第57页
- 第58页
- 第59页
- 第60页
- 第61页
- 第62页
- 第63页
- 第64页
- 第65页
- 第66页
- 第67页
- 第68页
- 第69页
- 第70页
- 第71页
- 第72页
- 第73页
- 第74页
- 第75页
- 第76页
- 第77页
- 第78页
- 第79页
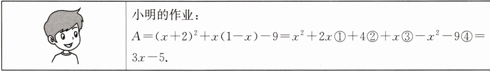
21. 已知多项式 $A = (x + 2)^{2} + x(1 - x) - 9$。
化简多项式 $A$ 时,小明的结果与其他同学的不同,请你检查小明同学的解题过程。在标出①②③④的几项中出现错误的是______,并写出正确的解答过程。

化简多项式 $A$ 时,小明的结果与其他同学的不同,请你检查小明同学的解题过程。在标出①②③④的几项中出现错误的是______,并写出正确的解答过程。
答案:
(1)29
(2)①x−1 x−3 ②20
(1)29
(2)①x−1 x−3 ②20
22. 现有甲种正方形、乙种长方形卡片各若干张,卡片的边长如图所示 $(a > 1)$。某同学分别拼出两个长方形(不重叠无缝隙),如图 $1$ 和图 $2$,其面积分别为 $S_{1}$,$S_{2}$。
(1)请用含 $a$ 的式子分别表示 $S_{1}$,$S_{2}$。
(2)当 $a = 3$ 时,求 $S_{1} + S_{2}$ 的值。

(1)请用含 $a$ 的式子分别表示 $S_{1}$,$S_{2}$。
(2)当 $a = 3$ 时,求 $S_{1} + S_{2}$ 的值。
答案:
(1)$S_{1} = 2a^{2} + 2a S_{2} = a^{2} + 4a)$
(2)45
(2)45
23. 某同学计算一个多项式乘 $-3x^{2}$ 时,因抄错符号,算成了加上 $-3x^{2}$,得到的答案是 $x^{2} - 2x + 1$。
(1)求这个多项式。
(2)正确的计算结果应该是多少?
(1)求这个多项式。
(2)正确的计算结果应该是多少?
答案:
23.(1)$4x^{2} - 2x + 1$(2)$-12x^{4} + 6x^{3} - 3x^{2}$
查看更多完整答案,请扫码查看