2025年高考必刷题高三化学
注:目前有些书本章节名称可能整理的还不是很完善,但都是按照顺序排列的,请同学们按照顺序仔细查找。练习册 2025年高考必刷题高三化学 答案主要是用来给同学们做完题方便对答案用的,请勿直接抄袭。
第181页
- 第1页
- 第2页
- 第3页
- 第4页
- 第5页
- 第6页
- 第7页
- 第8页
- 第9页
- 第10页
- 第11页
- 第12页
- 第13页
- 第14页
- 第15页
- 第16页
- 第17页
- 第18页
- 第19页
- 第20页
- 第21页
- 第22页
- 第23页
- 第24页
- 第25页
- 第26页
- 第27页
- 第28页
- 第29页
- 第30页
- 第31页
- 第32页
- 第33页
- 第34页
- 第35页
- 第36页
- 第37页
- 第38页
- 第39页
- 第40页
- 第41页
- 第42页
- 第43页
- 第44页
- 第45页
- 第46页
- 第47页
- 第48页
- 第49页
- 第50页
- 第51页
- 第52页
- 第53页
- 第54页
- 第55页
- 第56页
- 第57页
- 第58页
- 第59页
- 第60页
- 第61页
- 第62页
- 第63页
- 第64页
- 第65页
- 第66页
- 第67页
- 第68页
- 第69页
- 第70页
- 第71页
- 第72页
- 第73页
- 第74页
- 第75页
- 第76页
- 第77页
- 第78页
- 第79页
- 第80页
- 第81页
- 第82页
- 第83页
- 第84页
- 第85页
- 第86页
- 第87页
- 第88页
- 第89页
- 第90页
- 第91页
- 第92页
- 第93页
- 第94页
- 第95页
- 第96页
- 第97页
- 第98页
- 第99页
- 第100页
- 第101页
- 第102页
- 第103页
- 第104页
- 第105页
- 第106页
- 第107页
- 第108页
- 第109页
- 第110页
- 第111页
- 第112页
- 第113页
- 第114页
- 第115页
- 第116页
- 第117页
- 第118页
- 第119页
- 第120页
- 第121页
- 第122页
- 第123页
- 第124页
- 第125页
- 第126页
- 第127页
- 第128页
- 第129页
- 第130页
- 第131页
- 第132页
- 第133页
- 第134页
- 第135页
- 第136页
- 第137页
- 第138页
- 第139页
- 第140页
- 第141页
- 第142页
- 第143页
- 第144页
- 第145页
- 第146页
- 第147页
- 第148页
- 第149页
- 第150页
- 第151页
- 第152页
- 第153页
- 第154页
- 第155页
- 第156页
- 第157页
- 第158页
- 第159页
- 第160页
- 第161页
- 第162页
- 第163页
- 第164页
- 第165页
- 第166页
- 第167页
- 第168页
- 第169页
- 第170页
- 第171页
- 第172页
- 第173页
- 第174页
- 第175页
- 第176页
- 第177页
- 第178页
- 第179页
- 第180页
- 第181页
7. [北京西城区2024二模]黄酮类物质X具有抗金黄色葡萄球菌、大肠杆菌的性质,一种合成路线如下:

已知:
(1)X中含有的含氧官能团为醚键、______。
(2)A→B反应的化学方程式是______。
(3)B→D的反应类型是______。
(4)E→F反应的同时生成HCl,试剂a的结构简式是______。
(5)G转化为J需加入K₂CO₃。
①J的结构简式是______。
②K₂CO₃的主要作用是______。
(6)F和L生成X经历如下多步反应:



①M的结构简式是______。
②三步反应中,涉及生成手性碳原子的为第______步(填“一”“二”或“三”)。
已知:
(1)X中含有的含氧官能团为醚键、______。
(2)A→B反应的化学方程式是______。
(3)B→D的反应类型是______。
(4)E→F反应的同时生成HCl,试剂a的结构简式是______。
(5)G转化为J需加入K₂CO₃。
①J的结构简式是______。
②K₂CO₃的主要作用是______。
(6)F和L生成X经历如下多步反应:
①M的结构简式是______。
②三步反应中,涉及生成手性碳原子的为第______步(填“一”“二”或“三”)。
答案:
(1)羰基、羟基 (2)
(3)取代反应
(4)$CH_3OCH_2Cl$
(5)①
②消耗反应生成的HBr,提高J的产率
(6)①
②二
【突破点·有机合成与推断,涉及官能团名称、反应类型、方程式书写】
【解析】
(1)由X的结构简式可知,X中含有的含氧官能团为醚键、羰基、羟基。
(2)A和$Br_2$发生取代反应生成B,结合F的结构简式可知,溴原子在—OH的邻位取代,化学方程式为
+ $Br_2$ $\xrightarrow{催化剂}$
+ HBr。
(3)结合F的结构简式可知,B与$(CH_3)_2SO_4$反应生成D
,则B和$(CH_3)_2SO_4$发生取代反应。
(4)D发生水解反应,酸化后生成E
,E和试剂a发生取代反应生成F,同时生成HCl,则试剂a的结构简式是$CH_3OCH_2Cl$。
(5)①结合J的分子式可知
发生取代反应,$J→K$发生了已知条件的反应,说明取代位置是苯环上的两个羟基之间,则J的结构简式是
;②该反应同时有HBr生成,$K_2CO_3$的主要作用是消耗反应生成的HBr,提高J的产率。
(6)J(
)在DDQ氧化作用下生成K
,K和试剂a($CH_3OCH_2Cl$)发生取代反应生成L
,F和L发生已知信息I的反应得到M,由F和L的结构简式可知M为
,M发生加成反应生成N
,N再发生取代反应生成X
。手性碳原子是指与四个各不相同原子或基团相连的碳原子,M中没有手性碳原子,N中含有手性碳原子,X中手性碳原子与N相同,则三步反应中涉及生成手性碳原子的为第二步。
(1)羰基、羟基 (2)
发生取代反应,$J→K$发生了已知条件的反应,说明取代位置是苯环上的两个羟基之间,则J的结构简式是
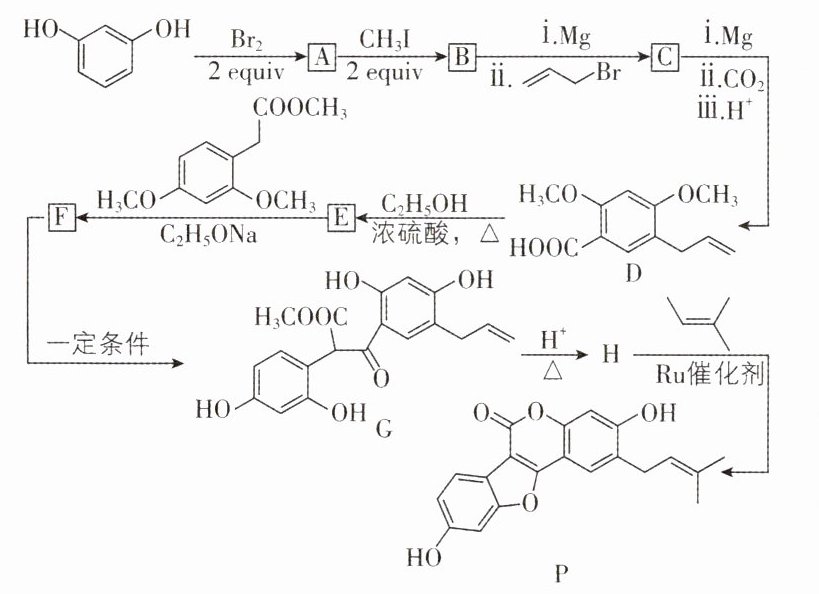
8. [湖北武汉华师大附中2024期中]已知间苯二酚可以合成中草药的活性成分Psoralidin(化合物P),合成路线如图:

已知:①2 equiv即加入2倍物质的量的试剂

(1)A中官能团的名称为______。
(2)C的结构简式为______。
(3)D→E的化学方程式为______。
(4)写出一个满足下列条件的B的同分异构体:______。
①与FeCl₃溶液反应显紫色
②核磁共振氢谱显示5组峰,且峰面积之比为2∶2∶2∶1∶1
(5)
的反应原理如图。J的名称为______。

(6)G→H的过程中分为三步反应。K的结构简式为______,K→M的反应类型是______。

已知:①2 equiv即加入2倍物质的量的试剂
(1)A中官能团的名称为______。
(2)C的结构简式为______。
(3)D→E的化学方程式为______。
(4)写出一个满足下列条件的B的同分异构体:______。
①与FeCl₃溶液反应显紫色
②核磁共振氢谱显示5组峰,且峰面积之比为2∶2∶2∶1∶1
(5)
的反应原理如图。J的名称为______。
(6)G→H的过程中分为三步反应。K的结构简式为______,K→M的反应类型是______。
答案:
(1)碳溴键(或溴原子)、酚羟基 (2)
(3)
(4)
(5)丙烯
(6)
消去反应
【突破点·有机合成,涉及有机物推断、官能团、同分异构体、有机反应类型等】
【思路导引】
和$Br_2$发生取代反应生成A,结合$A→D$过程中的反应条件和D的结构简式可知A为
。$A→B$,A和$CH_3I$发生取代反应生成B
;$B→C$,B发生已知②的反应生成C
;$C→D$,C和Mg、$CO_2$、$H^+$发生反应生成D;$D→E$,D和乙醇发生酯化反应生成E
,化学方程式为
+ $CH_3CH_2OH$ $\xrightarrow{浓H_2SO_4,\triangle}$
+ $H_2O$;$E→F$,E和
发生取代反应生成F
;$F→G$,F在一定条件下转化为G;$G→H$,G酸化加热条件下发生已经③的反应生成H
;$H→P$,H和
在Ru催化剂条件下生成P。
【解析】
(1)由思路导引可知A为
,其中含有官能团的名称为碳溴键(或溴原子)、酚羟基。
(4)B为
,B的同分异构体满足以下条件:①与$FeCl_3$溶液反应显紫色,说明其中含有酚羟基;②核磁共振氢谱显示5组峰,且峰面积之比为2:2:2:1:1,说明其中含有5种不同化学环境的H原子,满足条件的同分异构体为
或
。
(5)根据
可知J为$CH_2 = CHCH_3$,名称为丙烯。
(6)$G→H$的过程中分为三步反应,G发生加成反应生成K
,K发生消去反应生成M
,M发生取代反应生成H
。
(1)碳溴键(或溴原子)、酚羟基 (2)
+ $H_2O$;$E→F$,E和
查看更多完整答案,请扫码查看