2025年学霸高考黑题化学人教版
注:目前有些书本章节名称可能整理的还不是很完善,但都是按照顺序排列的,请同学们按照顺序仔细查找。练习册 2025年学霸高考黑题化学人教版 答案主要是用来给同学们做完题方便对答案用的,请勿直接抄袭。
第31页
- 第1页
- 第2页
- 第3页
- 第4页
- 第5页
- 第6页
- 第7页
- 第8页
- 第9页
- 第10页
- 第11页
- 第12页
- 第13页
- 第14页
- 第15页
- 第16页
- 第17页
- 第18页
- 第19页
- 第20页
- 第21页
- 第22页
- 第23页
- 第24页
- 第25页
- 第26页
- 第27页
- 第28页
- 第29页
- 第30页
- 第31页
- 第32页
- 第33页
- 第34页
- 第35页
- 第36页
- 第37页
- 第38页
- 第39页
- 第40页
- 第41页
- 第42页
- 第43页
- 第44页
- 第45页
- 第46页
- 第47页
- 第48页
- 第49页
- 第50页
- 第51页
- 第52页
- 第53页
- 第54页
- 第55页
- 第56页
- 第57页
- 第58页
- 第59页
- 第60页
- 第61页
- 第62页
- 第63页
- 第64页
- 第65页
- 第66页
- 第67页
- 第68页
- 第69页
- 第70页
- 第71页
- 第72页
- 第73页
- 第74页
- 第75页
- 第76页
- 第77页
- 第78页
- 第79页
- 第80页
- 第81页
- 第82页
- 第83页
- 第84页
- 第85页
- 第86页
- 第87页
- 第88页
- 第89页
- 第90页
- 第91页
- 第92页
- 第93页
- 第94页
- 第95页
- 第96页
- 第97页
- 第98页
- 第99页
- 第100页
- 第101页
- 第102页
- 第103页
- 第104页
- 第105页
- 第106页
- 第107页
- 第108页
- 第109页
- 第110页
- 第111页
- 第112页
- 第113页
- 第114页
- 第115页
- 第116页
- 第117页
- 第118页
- 第119页
- 第120页
- 第121页
- 第122页
- 第123页
- 第124页
- 第125页
- 第126页
- 第127页
- 第128页
- 第129页
- 第130页
- 第131页
- 第132页
(2025·辽宁沈阳一模)二苯乙二酮(
)是重要的化学品,常由安息香(
,Mᵣ = 212)制得。一种利用 NH₄NO₃ 氧化安息香制二苯乙二酮的原理、装置及步骤如下:

Ⅰ. 在 50 mL 装置 A 中加入 0.08 g (CH₃COO)₂Cu、2.40 g NH₄NO₃(过量)、4.24 g 安息香以及 18.0 mL 冰醋酸。
Ⅱ. 安装回流装置,加入磁子,使用磁搅拌加热器加热搅拌。平稳回流 40 min 后,每隔 15 min 利用薄板层析检测反应混合物,当安息香已全部转化为二苯乙二酮后,停止加热。
Ⅲ. 充分冷却后,将析出的黄色固体滤出,用 95%乙醇重结晶,晾干后称量,得黄色柱状晶体 3.57 g。
(1)装置 A 的名称是
(2)步骤Ⅱ中,搅拌的作用是
(3)反应 B 的化学方程式为
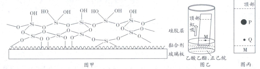
(4)薄板层析在生化实验中应用广泛。薄板表面涂有硅胶,其剖面如图甲所示。取装置 A 内液体点在薄板 M 处,乙酸乙酯和正己烷的混合液带动样品在薄板上爬升时(图乙),由于硅胶层表面对安息香与二苯乙二酮吸附力强弱不同,因此爬升高度不同(图丙)。回答下列问题:
①以下关于薄板层析检测的说法错误的是
A. 乙酸乙酯是一种常用的密度比水小的有机溶剂
B. 将硅胶置于蒸馏水中,Si—O 键会逐渐断开形成硅酸
C. 薄板层析实验的原理是利用物质的相对分子质量不同对物质进行区分
②图丙中,当
(5)利用红外光谱对产物进行表征,对比安息香的红外光谱图,能够初步推测安息香转化为二苯乙二酮的谱图变化为
(6)本次实验二苯乙二酮的产率为

Ⅰ. 在 50 mL 装置 A 中加入 0.08 g (CH₃COO)₂Cu、2.40 g NH₄NO₃(过量)、4.24 g 安息香以及 18.0 mL 冰醋酸。
Ⅱ. 安装回流装置,加入磁子,使用磁搅拌加热器加热搅拌。平稳回流 40 min 后,每隔 15 min 利用薄板层析检测反应混合物,当安息香已全部转化为二苯乙二酮后,停止加热。
Ⅲ. 充分冷却后,将析出的黄色固体滤出,用 95%乙醇重结晶,晾干后称量,得黄色柱状晶体 3.57 g。
(1)装置 A 的名称是
三颈烧瓶
,(CH₃COO)₂Cu 的作用是催化剂
。(2)步骤Ⅱ中,搅拌的作用是
使混合物受热均匀,防止暴沸
。(3)反应 B 的化学方程式为
$2CH_3COOCu+NH_4NO_3+2CH_3COOH=N_2\uparrow+2(CH_3COO)_2Cu+3H_2O$
。(4)薄板层析在生化实验中应用广泛。薄板表面涂有硅胶,其剖面如图甲所示。取装置 A 内液体点在薄板 M 处,乙酸乙酯和正己烷的混合液带动样品在薄板上爬升时(图乙),由于硅胶层表面对安息香与二苯乙二酮吸附力强弱不同,因此爬升高度不同(图丙)。回答下列问题:
①以下关于薄板层析检测的说法错误的是
BC
(填字母)。A. 乙酸乙酯是一种常用的密度比水小的有机溶剂
B. 将硅胶置于蒸馏水中,Si—O 键会逐渐断开形成硅酸
C. 薄板层析实验的原理是利用物质的相对分子质量不同对物质进行区分
②图丙中,当
Q点
(填“P 点”或“Q 点”)消失时,应关闭磁搅拌加热器停止反应。(5)利用红外光谱对产物进行表征,对比安息香的红外光谱图,能够初步推测安息香转化为二苯乙二酮的谱图变化为
O—H吸收峰消失(或“羟基吸收峰消失”)
。(6)本次实验二苯乙二酮的产率为
85%((或0.85)
。
答案:
巩固训练5
(1)三颈烧瓶 催化剂
(2)使混合物受热均匀,防止暴沸
(3)$2CH_3COOCu+NH_4NO_3+2CH_3COOH=N_2\uparrow+2(CH_3COO)_2Cu+3H_2O$
(4)①BC ②Q点
(5)O—H吸收峰消失(或“羟基吸收峰消失”)
(6)85%((或0.85)
解析:
(3)反应B为$CH_3COOCu$与硝酸铵转化为$(CH_3COO)_2Cu$、氮气和水。
(4)①乙酸乙酯密度小于水,A正确;Si—O键稳定,不与水发生反应(类比$SiO_2$与水不发生反应),B错误;根据题干“硅胶层表面对安息香与二苯乙二酮吸附力强弱不同”,结合安息香与二苯乙二酮的结构可知,作用本质并非仅是范德华力,二者均可与硅胶表面形成氢键,C错误;②比较安息香与二苯乙二酮的结构,可知安息香与硅胶表面—OH形成氢键能力更强,吸附力也更强,所以随着展开剂向上展开时,爬升较慢,故图丙Q点为安息香指示点,所以,当Q点消失时,证明烧瓶中液体不含安息香,即反应完全,可停止加热。
(6)根据步骤III中数据可计算二苯乙二酮的物质的量为$\frac{3.57 g}{210 g·mol^{-1}}=0.017 mol$,安息香的物质的量为$\frac{4.24 g}{212 g·mol^{-1}}=0.020 mol$,故二苯乙二酮的产率为$\frac{0.017 mol}{0.020 mol}×100\%=85\%$
(1)三颈烧瓶 催化剂
(2)使混合物受热均匀,防止暴沸
(3)$2CH_3COOCu+NH_4NO_3+2CH_3COOH=N_2\uparrow+2(CH_3COO)_2Cu+3H_2O$
(4)①BC ②Q点
(5)O—H吸收峰消失(或“羟基吸收峰消失”)
(6)85%((或0.85)
解析:
(3)反应B为$CH_3COOCu$与硝酸铵转化为$(CH_3COO)_2Cu$、氮气和水。
(4)①乙酸乙酯密度小于水,A正确;Si—O键稳定,不与水发生反应(类比$SiO_2$与水不发生反应),B错误;根据题干“硅胶层表面对安息香与二苯乙二酮吸附力强弱不同”,结合安息香与二苯乙二酮的结构可知,作用本质并非仅是范德华力,二者均可与硅胶表面形成氢键,C错误;②比较安息香与二苯乙二酮的结构,可知安息香与硅胶表面—OH形成氢键能力更强,吸附力也更强,所以随着展开剂向上展开时,爬升较慢,故图丙Q点为安息香指示点,所以,当Q点消失时,证明烧瓶中液体不含安息香,即反应完全,可停止加热。
(6)根据步骤III中数据可计算二苯乙二酮的物质的量为$\frac{3.57 g}{210 g·mol^{-1}}=0.017 mol$,安息香的物质的量为$\frac{4.24 g}{212 g·mol^{-1}}=0.020 mol$,故二苯乙二酮的产率为$\frac{0.017 mol}{0.020 mol}×100\%=85\%$
查看更多完整答案,请扫码查看