第76页
- 第1页
- 第2页
- 第3页
- 第4页
- 第5页
- 第6页
- 第7页
- 第8页
- 第9页
- 第10页
- 第11页
- 第12页
- 第13页
- 第14页
- 第15页
- 第16页
- 第17页
- 第18页
- 第19页
- 第20页
- 第21页
- 第22页
- 第23页
- 第24页
- 第25页
- 第26页
- 第27页
- 第28页
- 第29页
- 第30页
- 第31页
- 第32页
- 第33页
- 第34页
- 第35页
- 第36页
- 第37页
- 第38页
- 第39页
- 第40页
- 第41页
- 第42页
- 第43页
- 第44页
- 第45页
- 第46页
- 第47页
- 第48页
- 第49页
- 第50页
- 第51页
- 第52页
- 第53页
- 第54页
- 第55页
- 第56页
- 第57页
- 第58页
- 第59页
- 第60页
- 第61页
- 第62页
- 第63页
- 第64页
- 第65页
- 第66页
- 第67页
- 第68页
- 第69页
- 第70页
- 第71页
- 第72页
- 第73页
- 第74页
- 第75页
- 第76页
- 第77页
- 第78页
- 第79页
- 第80页
- 第81页
- 第82页
- 第83页
- 第84页
- 第85页
- 第86页
- 第87页
- 第88页
- 第89页
- 第90页
- 第91页
- 第92页
- 第93页
- 第94页
- 第95页
- 第96页
- 第97页
- 第98页
- 第99页
- 第100页
- 第101页
- 第102页
- 第103页
- 第104页
- 第105页
- 第106页
- 第107页
- 第108页
- 第109页
- 第110页
- 第111页
- 第112页
- 第113页
- 第114页
- 第115页
- 第116页
- 第117页
- 第118页
- 第119页
- 第120页
- 第121页
- 第122页
- 第123页
- 第124页
- 第125页
- 第126页
- 第127页
- 第128页
- 第129页
- 第130页
10. [2024·泰安] 在“探究凸透镜成像的规律”实验中,当蜡烛、凸透镜、光屏放置的位置如图所示时,烛焰在光屏上成清晰的倒立、等大的像。下列说法中(

①该凸透镜的焦距为20 cm
②将蜡烛放在d点时,成像原理与投影仪相同
③将蜡烛由b点移至a点时,移动光屏,可在光屏上成更小的像
④将蜡烛放在c点,移动光屏,可在光屏上成倒立、放大的像
A.只有①③正确
B.只有④正确
C.只有②④正确
D.只有③④正确
D
)①该凸透镜的焦距为20 cm
②将蜡烛放在d点时,成像原理与投影仪相同
③将蜡烛由b点移至a点时,移动光屏,可在光屏上成更小的像
④将蜡烛放在c点,移动光屏,可在光屏上成倒立、放大的像
A.只有①③正确
B.只有④正确
C.只有②④正确
D.只有③④正确
答案:
D
11.(科学思维 科学推理)如图甲所示,在装有水的杯子里,小红将一支铅笔分别紧贴杯壁内、外竖直放置,两次都观察到铅笔放大的像,俯视图如图乙、丙所示。下列说法正确的是(

A.图乙中铅笔向前移,像一直变小
B.图乙中铅笔向前移,像先变小后变大
C.图丙中铅笔向后移,像一直变大
D.图丙中铅笔向后移,像先变小后变大
A
)A.图乙中铅笔向前移,像一直变小
B.图乙中铅笔向前移,像先变小后变大
C.图丙中铅笔向后移,像一直变大
D.图丙中铅笔向后移,像先变小后变大
答案:
A
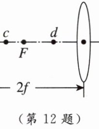
12. [2024·镇江丹徒区月考] 如图所示,保持凸透镜位置不变,先后把蜡烛的烛焰移至a、b、c、d各点处,并分别调整光屏的位置寻找清晰的像,则烛焰在a处时,呈倒立、
缩小
(填“放大”或“缩小”)的实像;烛焰在b
处时,呈倒立、放大的实像;烛焰在d
处时,光屏上不会出现烛焰的像。(后两空均填“a”“b”“c”或“d”)
答案:
缩小;b;d
13. [2024·淮安] 在“探究凸透镜成像规律”实验中:
(1)如图甲所示,S为烛焰中心,凸透镜的焦距f = 10 cm,O为光心。画出光线SP经过凸透镜后的折射光线。
(2)蜡烛、凸透镜和光屏在光具座上的位置如图乙所示,此时光屏上承接到烛焰清晰的像(未画出),生活中的
(3)凸透镜成像规律被广泛应用于摄像器材中,小明发现手机不用像数码相机那样“调焦”,也能获得清晰的像。他将
拿到实验室去探究,实验数据如下表所示。
根据表中数据,判断手机镜头的焦距最接近(
A. 5 m
B. 0.5 m
C. 0.05 m
D. 0.005 m
(2)蜡烛、凸透镜和光屏在光具座上的位置如图乙所示,此时光屏上承接到烛焰清晰的像(未画出),生活中的
投影仪
就是根据这一原理制成的。若蜡烛和光屏位置不变,将凸透镜移至65
cm刻度线处,光屏上能再次承接到烛焰清晰的像。(3)凸透镜成像规律被广泛应用于摄像器材中,小明发现手机不用像数码相机那样“调焦”,也能获得清晰的像。他将
拿到实验室去探究,实验数据如下表所示。
根据表中数据,判断手机镜头的焦距最接近(
D
)A. 5 m
B. 0.5 m
C. 0.05 m
D. 0.005 m
(1) 从P点沿平行于主光轴方向画出折射光线(图略)。
答案:
(1) 从P点沿平行于主光轴方向画出折射光线(图略)。
(2) 投影仪;65
(3) D
(1) 从P点沿平行于主光轴方向画出折射光线(图略)。
(2) 投影仪;65
(3) D
查看更多完整答案,请扫码查看