第42页
- 第1页
- 第2页
- 第3页
- 第4页
- 第5页
- 第6页
- 第7页
- 第8页
- 第9页
- 第10页
- 第11页
- 第12页
- 第13页
- 第14页
- 第15页
- 第16页
- 第17页
- 第18页
- 第19页
- 第20页
- 第21页
- 第22页
- 第23页
- 第24页
- 第25页
- 第26页
- 第27页
- 第28页
- 第29页
- 第30页
- 第31页
- 第32页
- 第33页
- 第34页
- 第35页
- 第36页
- 第37页
- 第38页
- 第39页
- 第40页
- 第41页
- 第42页
- 第43页
- 第44页
- 第45页
- 第46页
- 第47页
- 第48页
- 第49页
- 第50页
- 第51页
- 第52页
- 第53页
- 第54页
- 第55页
- 第56页
- 第57页
- 第58页
- 第59页
- 第60页
- 第61页
- 第62页
- 第63页
- 第64页
- 第65页
- 第66页
- 第67页
- 第68页
- 第69页
- 第70页
- 第71页
- 第72页
- 第73页
- 第74页
- 第75页
- 第76页
- 第77页
- 第78页
- 第79页
- 第80页
- 第81页
- 第82页
- 第83页
- 第84页
- 第85页
- 第86页
- 第87页
- 第88页
- 第89页
- 第90页
- 第91页
- 第92页
9. 学科教材变式「2025河南郑州中牟期中,★☆」若$n$是正整数,随着$n$的值逐渐增大,四个代数式$n^{2}$,$n+2$,$5n+7$,$3n+5$的值先超过100的是( )
A.$n^{2}$
B.$n+2$
C.$5n+7$
D.$3n+5$
A.$n^{2}$
B.$n+2$
C.$5n+7$
D.$3n+5$
答案:
A n²中,n的指数为2,当n=10时,n²=100,此时其他各式的值都小于100,所以随着n的值逐渐增大,先超过100的是n²,故选A.
10. 「2025河北保定竞秀期中,★☆」根据如图所示的程序,当输入的$x$为1时,输出的$y$为( )

A.-2
B.3
C.4
D.8
A.-2
B.3
C.4
D.8
答案:
C 由题图可得代数式为2x²-4,将x=1代入代数式2x²-4,得2×1²-4=-2<0.将x=-2代入代数式2x²-4,得2×(-2)²-4=4>0,输出结果,所以y=4.故选C.
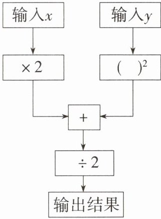
11. 学科教材变式「2024河北邯郸永年期中,★☆」如图所示的是一个数值转换机,若输入$x$的值为3,$y$的值为-2,则输出的结果为( )

A.1
B.5
C.2
D.6
A.1
B.5
C.2
D.6
答案:
B 由题意,得[2×3+(-2)²]÷2=5,故选B.
1. 「2025山东济南历城期中」若$2a^{2}+b= 4$,则代数式$3-4a^{2}-2b$的值为( )
A.11
B.7
C.-1
D.-5
A.11
B.7
C.-1
D.-5
答案:
D 因为2a²+b=4,所以3-4a²-2b=3-2(2a²+b)=3-2×4=-5.故选D.
2. 「2024广东广州中考」若$a^{2}-2a-5= 0$,则$2a^{2}-4a+1= $____.
答案:
答案 11 解析 因为a²-2a-5=0,所以a²-2a=5.所以2a²-4a+1=2(a²-2a)+1=2×5+1=11.
12. 新课标模型观念「2024河南焦作温县期中」某家具厂生产一种办公桌和椅子,办公桌每张定价500元,椅子每把定价160元,厂方在开展促销活动期间,向客户提供了两种优惠方案:
方案一:每买一张办公桌就赠送一把椅子;
方案二:办公桌和椅子都按定价的80%付款.
某公司计划添置100张办公桌和$x$把椅子.
(1)若$x= 100$,选择哪种方案划算?
(2)若$x>100$,请用含$x$的代数式分别把两种方案的费用表示出来.
(3)若$x= 300$,请帮助该公司设计一种最省钱的购买方案.
方案一:每买一张办公桌就赠送一把椅子;
方案二:办公桌和椅子都按定价的80%付款.
某公司计划添置100张办公桌和$x$把椅子.
(1)若$x= 100$,选择哪种方案划算?
(2)若$x>100$,请用含$x$的代数式分别把两种方案的费用表示出来.
(3)若$x= 300$,请帮助该公司设计一种最省钱的购买方案.
答案:
解析
(1)当x=100时,方案一:100×500=50000(元),方案二:100×80%×(500+160)=52800(元).因为50000<52800,所以选择方案一划算.
(2)当x>100时,方案一:100×500+160×(x-100)=(160x+34000)元,方案二:(100×500+160x)×80%=(128x+40000)元.答:当x>100时,方案一,方案二的费用分别为(160x+34000)元,(128x+40000)元.
(3)当x=300时,由
(2)可知,①按方案一购买的费用为160×300+34000=82000(元).②按方案二购买的费用为128×300+40000=78400(元).③先按方案一购买100张办公桌,同时送100把椅子,再按方案二购买200把椅子,总费用为100×500+160×200×80%=75600(元).因为82000>78400>75600,所以先按方案一购买100张办公桌,同时送100把椅子,再按方案二购买200把椅子最省钱.
(1)当x=100时,方案一:100×500=50000(元),方案二:100×80%×(500+160)=52800(元).因为50000<52800,所以选择方案一划算.
(2)当x>100时,方案一:100×500+160×(x-100)=(160x+34000)元,方案二:(100×500+160x)×80%=(128x+40000)元.答:当x>100时,方案一,方案二的费用分别为(160x+34000)元,(128x+40000)元.
(3)当x=300时,由
(2)可知,①按方案一购买的费用为160×300+34000=82000(元).②按方案二购买的费用为128×300+40000=78400(元).③先按方案一购买100张办公桌,同时送100把椅子,再按方案二购买200把椅子,总费用为100×500+160×200×80%=75600(元).因为82000>78400>75600,所以先按方案一购买100张办公桌,同时送100把椅子,再按方案二购买200把椅子最省钱.
3. 「2023湖南永州祁阳期末」当$x= 1$时,代数式$px^{3}+qx+1$的值为22,则当$x= -1$时,代数式$px^{3}+qx+1$的值为____.
答案:
答案 -20 解析 因为当x=1时,代数式px³+qx+1的值为22,所以p+q+1=22,所以p+q=21.所以当x=-1时,px³+qx+1=-p-q+1=-(p+q)+1=-21+1=-20.
查看更多完整答案,请扫码查看