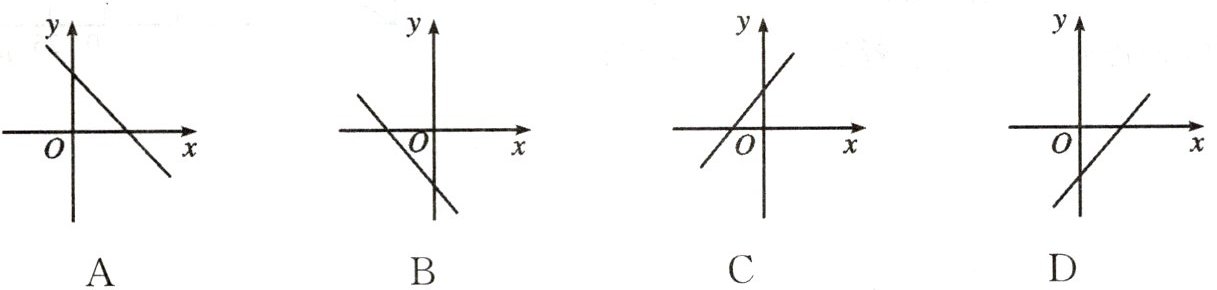
1. (★★)已知一次函数$y= kx+b$,$y随着x$的增大而减小,且$kb<0$,则在直角坐标系内,它的大致图象是()

答案:
A
2. (★★)若一次函数$y= kx+b的图象交y$轴于正半轴,且$y值随x$值的增大而减小,则()
A. $k>0$,$b>0$
B. $k>0$,$b<0$
C. $k<0$,$b>0$
D. $k<0$,$b<0$
A. $k>0$,$b>0$
B. $k>0$,$b<0$
C. $k<0$,$b>0$
D. $k<0$,$b<0$
答案:
C
3. (★★)一次函数的图象交$x轴于(2,0)$,交$y轴于(0,3)$,当函数值大于$0$时,$x$的取值范围是()
A. $x>2$
B. $x<2$
C. $x>3$
D. $x<3$
A. $x>2$
B. $x<2$
C. $x>3$
D. $x<3$
答案:
B
4. (★★)汽车开始行驶时,油箱内有油$40L$,如果每小时耗油$5L$,则油箱内余油量$y(L)与行驶时间t(h)$的函数关系用图象表示应为下图中的()

答案:
B
5. (★)已知$y与x$成正比例,且当$x= 1$时,$y= 2$,那么当$x= 3$时,$y= $______。
答案:
$6$
6. (★)正比例函数$y= (m-2)x$,当$m$______时,$y随x$的增大而增大。
答案:
$m\gt2$
7. (★)已知一次函数$y= 2x+4的图象经过点(m,8)$,则$m= $______。
答案:
$2$
8. (★★)以下函数:①$y= 2x^{2}+x+1$,②$y= 2πγ$,③$y= \frac{1}{x}$,④$y= (\sqrt{2}-1)x$,⑤$y= -(a+x)$($a$是常数),⑥$s= 2t$。其中是一次函数的有______。
答案:
②④⑤⑥
9. (★★)若函数$y= (k-2)x^{k^{2}-3}+1是关于x$的一次函数,则$k= $______。
答案:
$-2$
10. (★★)已知一次函数$y= kx+b的图象经过点A(1,3)和B(-1,-1)$,则此函数的解析式为______。
答案:
$y = 2x + 1$
查看更多完整答案,请扫码查看