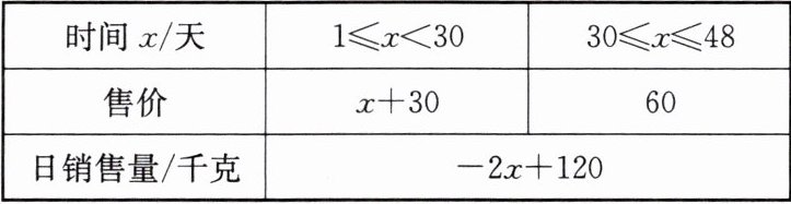
3. (2024·东海县一模)某商贸公司购进某种商品,经过市场调研,整理出这种商品在第$x(1≤ x≤ 48)$天的售价与日销售量的相关信息如下表:

已知这种商品的进价为20元/千克,设销售这种商品的日销售利润为$y$元。
(1)求$y$与$x$的函数表达式;
(2)第几天的销售利润最大?最大日销售利润为多少元?
(3)公司在销售的前28天中,每销售1千克这种商品就捐赠$n$元利润$(n<9)$给“希望工程”,若每天扣除捐赠后的日销售利润随时间$x$的增大而增大,求$n$的取值范围。
已知这种商品的进价为20元/千克,设销售这种商品的日销售利润为$y$元。
(1)求$y$与$x$的函数表达式;
(2)第几天的销售利润最大?最大日销售利润为多少元?
(3)公司在销售的前28天中,每销售1千克这种商品就捐赠$n$元利润$(n<9)$给“希望工程”,若每天扣除捐赠后的日销售利润随时间$x$的增大而增大,求$n$的取值范围。
答案:
3. 解:
(1) 由题意可知,当$1≤ x<30$时,$y=(x + 30 - 20)(-2x + 120)=-2x^{2}+100x + 1200$。
当$30≤ x≤48$时,$y=(60 - 20)(-2x + 120)=-80x + 4800$,
$\therefore y=\begin{cases}-2x^{2}+100x + 1200(1≤ x<30),\\-80x + 4800(30≤ x≤48).\end{cases}$
(2) 由
(1)可得,当$1≤ x<30$时,$y=-2(x - 25)^{2}+2450$,
$\because -2<0$,且$1≤ x<30$,$\therefore$当$x = 25$时,$y_{\max}=2450$。
当$30≤ x≤48$时,$y=-80x + 4800$。
$\because k=-80<0$,$\therefore y$随$x$的增大而减小,
$\therefore$当$x = 30$时,$y_{\max}=-80×30 + 4800 = 2400$。
$\because 2450>2400$,$\therefore$第$25$天时销售利润最大,最大日销售利润为$2450$元。
(3) 设每天扣除捐赠后的日销售利润为$w$元,则$w=-2x^{2}+100x + 1200 - (-2x + 120)n=-2x^{2}+(100 + 2n)x + (1200 - 120n)$,
$\therefore$对称轴为直线$x=-\frac{100 + 2n}{2×(-2)}=\frac{50 + n}{2}$。
$\because w$随$x$的增大而增大,$x$为整数,
$\therefore\frac{50 + n}{2}>27.5$,解得$n>5$,$\therefore5< n<9$。
(1) 由题意可知,当$1≤ x<30$时,$y=(x + 30 - 20)(-2x + 120)=-2x^{2}+100x + 1200$。
当$30≤ x≤48$时,$y=(60 - 20)(-2x + 120)=-80x + 4800$,
$\therefore y=\begin{cases}-2x^{2}+100x + 1200(1≤ x<30),\\-80x + 4800(30≤ x≤48).\end{cases}$
(2) 由
(1)可得,当$1≤ x<30$时,$y=-2(x - 25)^{2}+2450$,
$\because -2<0$,且$1≤ x<30$,$\therefore$当$x = 25$时,$y_{\max}=2450$。
当$30≤ x≤48$时,$y=-80x + 4800$。
$\because k=-80<0$,$\therefore y$随$x$的增大而减小,
$\therefore$当$x = 30$时,$y_{\max}=-80×30 + 4800 = 2400$。
$\because 2450>2400$,$\therefore$第$25$天时销售利润最大,最大日销售利润为$2450$元。
(3) 设每天扣除捐赠后的日销售利润为$w$元,则$w=-2x^{2}+100x + 1200 - (-2x + 120)n=-2x^{2}+(100 + 2n)x + (1200 - 120n)$,
$\therefore$对称轴为直线$x=-\frac{100 + 2n}{2×(-2)}=\frac{50 + n}{2}$。
$\because w$随$x$的增大而增大,$x$为整数,
$\therefore\frac{50 + n}{2}>27.5$,解得$n>5$,$\therefore5< n<9$。
查看更多完整答案,请扫码查看