第27页
- 第1页
- 第2页
- 第3页
- 第4页
- 第5页
- 第6页
- 第7页
- 第8页
- 第9页
- 第10页
- 第11页
- 第12页
- 第13页
- 第14页
- 第15页
- 第16页
- 第17页
- 第18页
- 第19页
- 第20页
- 第21页
- 第22页
- 第23页
- 第24页
- 第25页
- 第26页
- 第27页
- 第28页
- 第29页
- 第30页
- 第31页
- 第32页
- 第33页
- 第34页
- 第35页
- 第36页
- 第37页
- 第38页
- 第39页
- 第40页
- 第41页
- 第42页
- 第43页
- 第44页
- 第45页
- 第46页
- 第47页
- 第48页
- 第49页
- 第50页
- 第51页
- 第52页
- 第53页
- 第54页
- 第55页
- 第56页
- 第57页
- 第58页
- 第59页
- 第60页
- 第61页
- 第62页
- 第63页
- 第64页
- 第65页
- 第66页
- 第67页
- 第68页
- 第69页
- 第70页
- 第71页
- 第72页
- 第73页
- 第74页
- 第75页
- 第76页
- 第77页
- 第78页
- 第79页
- 第80页
1 把下面的算式转化成除数是整数的除法算式。
0.56÷0.25= (
1÷0.16= (
0.3402÷3.78= (
5.2÷0.325= (
0.56÷0.25= (
56
)÷251÷0.16= (
100
)÷(16
)0.3402÷3.78= (
34.02
)÷3785.2÷0.325= (
5200
)÷(325
)
答案:
解析:本题考查了除数是小数的除法计算方法,需要根据商不变的性质,将除数是小数的除法转化为除数是整数的除法。
对于$ 0.56 ÷0.25$:
除数$0.25$变为$25$,小数点向右移动了两位,根据商不变的性质,被除数$0.56$的小数点也向右移动两位,得到$56$。
所以$ 0.56 ÷ 0.25 = 56 ÷ 25$。
对于$1 ÷ 0.16$:
除数$0.16$变为整数,需要将小数点向右移动两位,即变为$16$,那么被除数$1$的小数点也向右移动两位,变为$100$。
所以$1 ÷ 0.16 = 100 ÷ 16$。
对于$0.3402 ÷ 3.78$:
除数$3.78$变为$378$,小数点向右移动了两位,那么被除数$0.3402$的小数点也向右移动两位,得到$34.02$。
所以$0.3402 ÷ 3.78 = 34.02 ÷ 378$。
对于$5.2 ÷ 0.325$:
除数$0.325$变为整数,需要将小数点向右移动三位,即变为$325$,那么被除数$5.2$的小数点也向右移动三位,变为$5200$。
所以$5.2 ÷ 0.325 = 5200 ÷ 325$。
答案:$56$;$100$,$16$;$34.02$;$5200$,$325$。
对于$ 0.56 ÷0.25$:
除数$0.25$变为$25$,小数点向右移动了两位,根据商不变的性质,被除数$0.56$的小数点也向右移动两位,得到$56$。
所以$ 0.56 ÷ 0.25 = 56 ÷ 25$。
对于$1 ÷ 0.16$:
除数$0.16$变为整数,需要将小数点向右移动两位,即变为$16$,那么被除数$1$的小数点也向右移动两位,变为$100$。
所以$1 ÷ 0.16 = 100 ÷ 16$。
对于$0.3402 ÷ 3.78$:
除数$3.78$变为$378$,小数点向右移动了两位,那么被除数$0.3402$的小数点也向右移动两位,得到$34.02$。
所以$0.3402 ÷ 3.78 = 34.02 ÷ 378$。
对于$5.2 ÷ 0.325$:
除数$0.325$变为整数,需要将小数点向右移动三位,即变为$325$,那么被除数$5.2$的小数点也向右移动三位,变为$5200$。
所以$5.2 ÷ 0.325 = 5200 ÷ 325$。
答案:$56$;$100$,$16$;$34.02$;$5200$,$325$。
2 正确移动小数点。
\
\
答案:


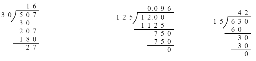
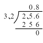
3 列竖式计算。
17.1÷3.8=
15÷0.04=
7.05÷0.94=
25.2÷0.63=
0.75÷2.5=
50.4÷0.28=
17.1÷3.8=
4.5
15÷0.04=
375
7.05÷0.94=
7.5
25.2÷0.63=
40
0.75÷2.5=
0.3
50.4÷0.28=
180
答案:
解析:这些题目都是除法运算,涉及到小数。我们需要通过竖式来计算每个除法的结果。
答案:
1. $17.1 ÷ 3.8 = 4.5$
$\begin{array}{r r r r r r r r r }&&&&&4.&5 \\ \hline &3&8&)&1&7.&1 \\ &&&&1&5&2 \\ \hline &&&&&1&9&0 \\ &&&&&1&9&0 \\ \hline &&&&&&0\end{array}$
2. $15 ÷ 0.04 = 375$
$\begin{array}{r r r r r r r r r }&&&3&7&5 \\ \hline &4&)&1&5&0&0 \\ &&&1&2 \\ \hline &&&&3&0 \\ &&&&2&8 \\ \hline &&&&&2&0 \\ &&&&&2&0 \\ \hline &&&&&&0\end{array}$
(注意,这里我们将15和0.04都乘以100,以便进行整数除法。)
3. $7.05 ÷ 0.94 = 7.5$
$\begin{array}{r r r r r r r r r }&&&&&7.&5 \\ \hline &9&4&)&7&0&5 \\ &&&&6&5&8 \\ \hline &&&&&4&7&0 \\ &&&&&4&7&0 \\ \hline &&&&&&0\end{array}$
(注意,这里我们将7.05和0.94都乘以100,以便进行整数除法。)
4. $25.2 ÷ 0.63 = 40$
$\begin{array}{r r r r r r r r r }&&&&4&0 \\ \hline &6&3&)&2&5&2&0 \\ &&&&2&5&2 \\ \hline &&&&&&0\end{array}$
(注意,这里我们将25.2和0.63都乘以100,以便进行整数除法,实际计算时按2520÷63计算。)
5. $0.75 ÷ 2.5 = 0.3$
$\begin{array}{r r r r r r r r r }&&&&0.&3 \\ \hline &2&5&)&7.&5 \\ &&&&7&5 \\ \hline &&&&&0\end{array}$
(注意,这里我们将0.75和2.5都乘以10,以便进行整数和小数一位的除法。)
6. $50.4 ÷ 0.28 = 180$
$\begin{array}{r r r r r r r r r }&&&1&8&0 \\ \hline &2&8&)&5&0&4&0 \\ &&&&2&8 \\ \hline &&&&2&2&4 \\ &&&&2&2&4 \\ \hline &&&&&&0\end{array}$
(注意,这里我们将50.4和0.28都乘以100,以便进行整数除法。)
答案:
1. $17.1 ÷ 3.8 = 4.5$
$\begin{array}{r r r r r r r r r }&&&&&4.&5 \\ \hline &3&8&)&1&7.&1 \\ &&&&1&5&2 \\ \hline &&&&&1&9&0 \\ &&&&&1&9&0 \\ \hline &&&&&&0\end{array}$
2. $15 ÷ 0.04 = 375$
$\begin{array}{r r r r r r r r r }&&&3&7&5 \\ \hline &4&)&1&5&0&0 \\ &&&1&2 \\ \hline &&&&3&0 \\ &&&&2&8 \\ \hline &&&&&2&0 \\ &&&&&2&0 \\ \hline &&&&&&0\end{array}$
(注意,这里我们将15和0.04都乘以100,以便进行整数除法。)
3. $7.05 ÷ 0.94 = 7.5$
$\begin{array}{r r r r r r r r r }&&&&&7.&5 \\ \hline &9&4&)&7&0&5 \\ &&&&6&5&8 \\ \hline &&&&&4&7&0 \\ &&&&&4&7&0 \\ \hline &&&&&&0\end{array}$
(注意,这里我们将7.05和0.94都乘以100,以便进行整数除法。)
4. $25.2 ÷ 0.63 = 40$
$\begin{array}{r r r r r r r r r }&&&&4&0 \\ \hline &6&3&)&2&5&2&0 \\ &&&&2&5&2 \\ \hline &&&&&&0\end{array}$
(注意,这里我们将25.2和0.63都乘以100,以便进行整数除法,实际计算时按2520÷63计算。)
5. $0.75 ÷ 2.5 = 0.3$
$\begin{array}{r r r r r r r r r }&&&&0.&3 \\ \hline &2&5&)&7.&5 \\ &&&&7&5 \\ \hline &&&&&0\end{array}$
(注意,这里我们将0.75和2.5都乘以10,以便进行整数和小数一位的除法。)
6. $50.4 ÷ 0.28 = 180$
$\begin{array}{r r r r r r r r r }&&&1&8&0 \\ \hline &2&8&)&5&0&4&0 \\ &&&&2&8 \\ \hline &&&&2&2&4 \\ &&&&2&2&4 \\ \hline &&&&&&0\end{array}$
(注意,这里我们将50.4和0.28都乘以100,以便进行整数除法。)
4 下面各题算得对吗?把不对的改正过来。

答案:
①(×)
改正:

②(×)
改正:

①(×)
改正:
②(×)
改正:
查看更多完整答案,请扫码查看