第31页
- 第1页
- 第2页
- 第3页
- 第4页
- 第5页
- 第6页
- 第7页
- 第8页
- 第9页
- 第10页
- 第11页
- 第12页
- 第13页
- 第14页
- 第15页
- 第16页
- 第17页
- 第18页
- 第19页
- 第20页
- 第21页
- 第22页
- 第23页
- 第24页
- 第25页
- 第26页
- 第27页
- 第28页
- 第29页
- 第30页
- 第31页
- 第32页
- 第33页
- 第34页
- 第35页
- 第36页
- 第37页
- 第38页
- 第39页
- 第40页
- 第41页
- 第42页
- 第43页
- 第44页
- 第45页
- 第46页
- 第47页
- 第48页
- 第49页
- 第50页
- 第51页
- 第52页
- 第53页
- 第54页
- 第55页
- 第56页
- 第57页
- 第58页
- 第59页
- 第60页
- 第61页
- 第62页
- 第63页
- 第64页
- 第65页
- 第66页
- 第67页
- 第68页
- 第69页
- 第70页
- 第71页
- 第72页
- 第73页
- 第74页
- 第75页
- 第76页
- 第77页
- 第78页
- 第79页
- 第80页
- 第81页
- 第82页
- 第83页
- 第84页
- 第85页
- 第86页
- 第87页
- 第88页
- 第89页
- 第90页
- 第91页
- 第92页
1.(1)角的大小可以用(
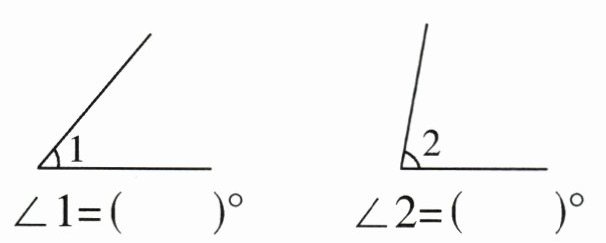
(2)
∠1=(
∠2=(
(3)用放大5倍的放大镜看一个60度的角,放大镜下的角是(
量角器
)度量,它是把一个半圆平均分成(180
)份,其中1份对应的角的大小是(1
)度,记作(1°
)。(2)
60°
)120°
)(3)用放大5倍的放大镜看一个60度的角,放大镜下的角是(
60
)度。
答案:
1.
(1)量角器 180 1 1°
(2)60° 120°
(3)60
(1)量角器 180 1 1°
(2)60° 120°
(3)60
2.判断题。
(1)120°的角只能在量角器的外圈刻度上找到。(
(2)量开口向右的角的度数时,一般要看量角器的内圈刻度。(
(3)用量角器可以直接测量的最大角是180°。(
(4)3时整,时针和分针所成的较小角是60°。(
(1)120°的角只能在量角器的外圈刻度上找到。(
×
)(2)量开口向右的角的度数时,一般要看量角器的内圈刻度。(
√
)(3)用量角器可以直接测量的最大角是180°。(
√
)(4)3时整,时针和分针所成的较小角是60°。(
×
)
答案:
2.
(1)×
(2)√
(3)√
(4)×
(1)×
(2)√
(3)√
(4)×
3.量一量,比一比,你发现了什么?
(1) ∠1=(

我发现:∠1○∠2,角的大小与所画边的(
(2) ∠1=(
我发现:角的两边 (

(1) ∠1=(
30
)° ∠2=(30
)°我发现:∠1○∠2,角的大小与所画边的(
长短
)没有关系。(2) ∠1=(
50
)° ∠2=(80
)°我发现:角的两边 (
分开得越大
),角越大。
答案:
3.
(1)30 30 = 长短
(2)50 80 分开得越大
(1)30 30 = 长短
(2)50 80 分开得越大
4.写出用一副三角尺拼成的角的度数。

(
用一副三角尺还能拼出(
(
105°
) (75°
) (150°
)用一副三角尺还能拼出(
135
)°的角。
答案:
4.105° 75° 150° 135(最后一空答案不唯一)
5.(1)如图①,量出的角是( )°。

(2)如图②,角的一条边被挡住了,这个角可能是( )。
① 20° ② 90° ③ 120° ④ 160°
(3)许炫量一个角时,角的顶点对准量角器的中心,一条边与量角器的内圈“0”刻度线对齐,看到另一条边对应的是外圈“50”刻度线,就写下50°,这个角实际是( )°,许炫错误的原因是()。
(4)从4时到6时,时针走了( )°;2时整,时针与分针所夹的较小角是( )°,再走30分,时针与分针所夹的较小角是( )°。
(2)如图②,角的一条边被挡住了,这个角可能是( )。
① 20° ② 90° ③ 120° ④ 160°
(3)许炫量一个角时,角的顶点对准量角器的中心,一条边与量角器的内圈“0”刻度线对齐,看到另一条边对应的是外圈“50”刻度线,就写下50°,这个角实际是( )°,许炫错误的原因是()。
(4)从4时到6时,时针走了( )°;2时整,时针与分针所夹的较小角是( )°,再走30分,时针与分针所夹的较小角是( )°。
答案:
5.
(1)80
(2)③
(3)130 一条边看的是内圈的“0”刻度线,另一条边看的却是外圈的“50”刻度线,没有统一
(4)60 60 105
(1)80
(2)③
(3)130 一条边看的是内圈的“0”刻度线,另一条边看的却是外圈的“50”刻度线,没有统一
(4)60 60 105
查看更多完整答案,请扫码查看