2025年暑假作业内蒙古教育出版社七年级数学
注:目前有些书本章节名称可能整理的还不是很完善,但都是按照顺序排列的,请同学们按照顺序仔细查找。练习册 2025年暑假作业内蒙古教育出版社七年级数学 答案主要是用来给同学们做完题方便对答案用的,请勿直接抄袭。
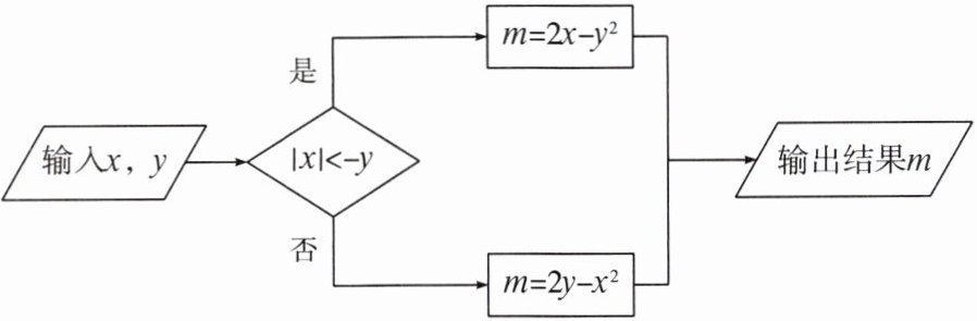
9. 一个运算的程序如图所示:

若$x= \sqrt {3},y= 1$,求m的值.
若$x= \sqrt {3},y= 1$,求m的值.
答案:
解 $\because x=\sqrt{3}$,$y=1$,$\therefore |x|>-y$,
$\therefore m=2y-x^{2}=2× 1-3=-1$。
$\therefore m=2y-x^{2}=2× 1-3=-1$。
10. 如图,圆的直径为1个单位长度,该圆上的点A与数轴上表示-1的点重合.将圆沿数轴滚动1周,点A到达点B的位置,则点B表示的数是(

A.$π-1$
B.$-π-1$
C.$-π+1$
D.$π-1或-π-1$
D
).A.$π-1$
B.$-π-1$
C.$-π+1$
D.$π-1或-π-1$
答案:
D
11. 如图,数轴上的点A表示的数是1,$OB⊥OA$,垂足为O,且$BO= 1$,以点A为圆心,AB长为半径画弧交数轴于点C,则点C表示的数为(

A.-0.4
B.$-\sqrt {2}$
C.$1-\sqrt {2}$
D.$\sqrt {2}-1$
C
).A.-0.4
B.$-\sqrt {2}$
C.$1-\sqrt {2}$
D.$\sqrt {2}-1$
答案:
C
12. 已知实数a,b,c在数轴上的对应点的位置如图所示,则化简式子$|a|+|c-b|-|a+b|$的结果为(

A.$c-2b$
B.$c-2a$
C.c
D.-c
C
).A.$c-2b$
B.$c-2a$
C.c
D.-c
答案:
C
查看更多完整答案,请扫码查看