第47页
- 第1页
- 第2页
- 第3页
- 第4页
- 第5页
- 第6页
- 第7页
- 第8页
- 第9页
- 第10页
- 第11页
- 第12页
- 第13页
- 第14页
- 第15页
- 第16页
- 第17页
- 第18页
- 第19页
- 第20页
- 第21页
- 第22页
- 第23页
- 第24页
- 第25页
- 第26页
- 第27页
- 第28页
- 第29页
- 第30页
- 第31页
- 第32页
- 第33页
- 第34页
- 第35页
- 第36页
- 第37页
- 第38页
- 第39页
- 第40页
- 第41页
- 第42页
- 第43页
- 第44页
- 第45页
- 第46页
- 第47页
- 第48页
- 第49页
- 第50页
- 第51页
- 第52页
- 第53页
- 第54页
- 第55页
- 第56页
- 第57页
- 第58页
- 第59页
- 第60页
- 第61页
- 第62页
- 第63页
- 第64页
- 第65页
- 第66页
- 第67页
- 第68页
- 第69页
- 第70页
- 第71页
- 第72页
- 第73页
- 第74页
- 第75页
- 第76页
- 第77页
- 第78页
- 第79页
- 第80页
- 第81页
- 第82页
- 第83页
- 第84页
- 第85页
- 第86页
- 第87页
- 第88页
- 第89页
- 第90页
- 第91页
- 第92页
- 第93页
- 第94页
- 第95页
- 第96页
- 第97页
- 第98页
- 第99页
- 第100页
- 第101页
- 第102页
- 第103页
- 第104页
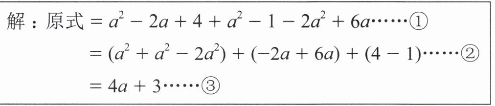
1. 以下是小鹏化简代数式$(a - 2)^{2}+(a + 1)(a - 1)-2a(a - 3)$的过程。
(1)小鹏的化简过程在第
(2)请你帮助小鹏写出正确的化简过程,并计算当$a = -0.5$时代数式的值。
(1)小鹏的化简过程在第
①
步开始出错,错误的原因是完全平方公式运用错误
。(2)请你帮助小鹏写出正确的化简过程,并计算当$a = -0.5$时代数式的值。
答案:
解:(1)①,完全平方公式运用错误;
(2)$(a - 2)^2 + (a + 1)(a - 1) - 2a(a - 3)$
$= a^2 - 4a + 4 + a^2 - 1 - 2a^2 + 6a$
$= 2a + 3$。
∴当$a = - 0.5$时,原式$= 2×(- 0.5) + 3 = - 1 + 3 = 2$。
(2)$(a - 2)^2 + (a + 1)(a - 1) - 2a(a - 3)$
$= a^2 - 4a + 4 + a^2 - 1 - 2a^2 + 6a$
$= 2a + 3$。
∴当$a = - 0.5$时,原式$= 2×(- 0.5) + 3 = - 1 + 3 = 2$。
2. 先化简,再求值:$(9a^{n + 2}+6a^{3n - 1}-a^{n})÷(-6a^{n - 1})+(-a^{n + 1})^{2}÷(-a)^{2}$($n$为正整数),其中$a = -2$。
答案:
解:$(9a^{n + 2} + 6a^{3n - 1} - a^n)÷(- 6a^{n - 1}) + (- a^{n + 1})^2÷(- a)^2$
$= - \frac{3}{2}a^3 - a^{2n} + \frac{1}{6}a + a^{2n}$
$= - \frac{3}{2}a^3 + \frac{1}{6}a$,
当$a = - 2$时,
原式$= - \frac{3}{2}×(- 2)^3 + \frac{1}{6}×(- 2)$
$= - \frac{3}{2}×(- 8) - \frac{1}{3}$
$= 12 - \frac{1}{3}$
$= \frac{35}{3}$。
$= - \frac{3}{2}a^3 - a^{2n} + \frac{1}{6}a + a^{2n}$
$= - \frac{3}{2}a^3 + \frac{1}{6}a$,
当$a = - 2$时,
原式$= - \frac{3}{2}×(- 2)^3 + \frac{1}{6}×(- 2)$
$= - \frac{3}{2}×(- 8) - \frac{1}{3}$
$= 12 - \frac{1}{3}$
$= \frac{35}{3}$。
3. 如图,已知直线$AB$,$CD被直线BC$所截,且$\angle1+\angle2 = 180^{\circ}$。
(1)求证:$AB// CD$。
证明:$\because ∠1 + ∠ABC = 180^\circ$,$∠1 + ∠2 = 180^\circ$,
$\therefore ∠ABC = ∠2$,
$\therefore AB// CD$;
(2)若$BD平分\angle ABC$,$\angle BDC = 40^{\circ}$,求$\angle1$的大小。
解:$\because BD$平分$∠ABC$,
$\therefore ∠ABC = 2∠ABD$。
$\because AB// CD$,$∠BDC = 40^\circ$,
$\therefore ∠ABD = ∠BDC = 40^\circ$。
$\therefore ∠ABC = 80^\circ$。
$\therefore ∠1 = 180^\circ - ∠ABC =
(1)求证:$AB// CD$。
证明:$\because ∠1 + ∠ABC = 180^\circ$,$∠1 + ∠2 = 180^\circ$,
$\therefore ∠ABC = ∠2$,
$\therefore AB// CD$;
(2)若$BD平分\angle ABC$,$\angle BDC = 40^{\circ}$,求$\angle1$的大小。
解:$\because BD$平分$∠ABC$,
$\therefore ∠ABC = 2∠ABD$。
$\because AB// CD$,$∠BDC = 40^\circ$,
$\therefore ∠ABD = ∠BDC = 40^\circ$。
$\therefore ∠ABC = 80^\circ$。
$\therefore ∠1 = 180^\circ - ∠ABC =
100^\circ
$。
答案:
(1)证明:$\because ∠1 + ∠ABC = 180^\circ$,$∠1 + ∠2 = 180^\circ$,
$\therefore ∠ABC = ∠2$,
$\therefore AB// CD$;
(2)解:$\because BD$平分$∠ABC$,
$\therefore ∠ABC = 2∠ABD$。
$\because AB// CD$,$∠BDC = 40^\circ$,
$\therefore ∠ABD = ∠BDC = 40^\circ$。
$\therefore ∠ABC = 80^\circ$。
$\therefore ∠1 = 180^\circ - ∠ABC = 100^\circ$。
$\therefore ∠ABC = ∠2$,
$\therefore AB// CD$;
(2)解:$\because BD$平分$∠ABC$,
$\therefore ∠ABC = 2∠ABD$。
$\because AB// CD$,$∠BDC = 40^\circ$,
$\therefore ∠ABD = ∠BDC = 40^\circ$。
$\therefore ∠ABC = 80^\circ$。
$\therefore ∠1 = 180^\circ - ∠ABC = 100^\circ$。
查看更多完整答案,请扫码查看