第49页
- 第1页
- 第2页
- 第3页
- 第4页
- 第5页
- 第6页
- 第7页
- 第8页
- 第9页
- 第10页
- 第11页
- 第12页
- 第13页
- 第14页
- 第15页
- 第16页
- 第17页
- 第18页
- 第19页
- 第20页
- 第21页
- 第22页
- 第23页
- 第24页
- 第25页
- 第26页
- 第27页
- 第28页
- 第29页
- 第30页
- 第31页
- 第32页
- 第33页
- 第34页
- 第35页
- 第36页
- 第37页
- 第38页
- 第39页
- 第40页
- 第41页
- 第42页
- 第43页
- 第44页
- 第45页
- 第46页
- 第47页
- 第48页
- 第49页
- 第50页
- 第51页
- 第52页
- 第53页
- 第54页
- 第55页
- 第56页
- 第57页
- 第58页
- 第59页
- 第60页
- 第61页
- 第62页
- 第63页
- 第64页
- 第65页
- 第66页
- 第67页
- 第68页
- 第69页
- 第70页
- 第71页
- 第72页
- 第73页
- 第74页
- 第75页
- 第76页
- 第77页
- 第78页
- 第79页
- 第80页
1. 将统一思想运用到物理研究中,第一个发现通电导线周围存在磁场,表明电与磁之间有联系的人是 ( )
A. 牛顿
B. 欧姆
C. 奥斯特
D. 法拉第
A. 牛顿
B. 欧姆
C. 奥斯特
D. 法拉第
答案:
C
2.(2024·江苏盐城二模)如图是奥斯特实验装置图,以下相关分析正确的是( )

A. 小磁针发生偏转说明通电导线周围存在磁场
B. 移去小磁针后,通电导线周围磁场立即消失
C. 断开开关后,直导线周围磁场不会立即消失
D. 通电导线周围磁场的方向由小磁针指向决定
A. 小磁针发生偏转说明通电导线周围存在磁场
B. 移去小磁针后,通电导线周围磁场立即消失
C. 断开开关后,直导线周围磁场不会立即消失
D. 通电导线周围磁场的方向由小磁针指向决定
答案:
A
3. 如图所示,通电螺线管周围存在磁场,M是某条磁感线上的一点,小磁针静止在磁场中,则M点的磁场方向及小磁针左端的极性分别是 ( )

A. 向左 N极
B. 向右 N极
C. 向左 S极
D. 向右 S极
A. 向左 N极
B. 向右 N极
C. 向左 S极
D. 向右 S极
答案:
B
4. 新趋势 情境素材(2024·四川广元)如图甲是小李家的磁悬浮盆景,盆底有一个永磁体,底座内有一个电磁铁. 如图乙是电磁铁的工作电路图,通电后,电磁铁的上端为________(选填“N”或“S”)极;由于磁极相对,利用同名磁极相互________的规律,盆景就会悬浮在底座上方.
答案:
S@@排斥
5. 通电线圈相当于一匝的通电螺线管,其两端的磁场与线圈中的电流方向的关系也符合安培定则. 把两个通电线圈A和B挂在水平光滑的固定绝缘细杆MN上,通有如图所示的电流,会发现通电线圈A和B将________(选填“相互靠近”“距离不变”或“相互远离”).

答案:
相互远离
6. 按要求作图.
(1)(2024·四川内江)如图甲,小磁针静止在通电螺线管右侧,请根据图中磁感线的方向,在螺线管左端和小磁针右端的括号内标出极性(“N”或“S”),在电源左边的括号内标出极性(“+”或“-”).

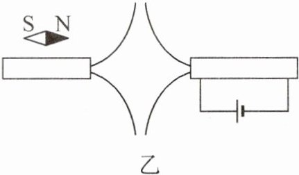
(2)如图乙所示,左侧是条形磁体,右侧是电磁铁,请根据静止的小磁针的指向,标出磁感线的方向,并在电磁铁上画出绕线.

(1)(2024·四川内江)如图甲,小磁针静止在通电螺线管右侧,请根据图中磁感线的方向,在螺线管左端和小磁针右端的括号内标出极性(“N”或“S”),在电源左边的括号内标出极性(“+”或“-”).
(2)如图乙所示,左侧是条形磁体,右侧是电磁铁,请根据静止的小磁针的指向,标出磁感线的方向,并在电磁铁上画出绕线.
答案:
(1) 如图所示
(2) 如图所示
(1) 如图所示
(2) 如图所示
查看更多完整答案,请扫码查看