第30页
- 第1页
- 第2页
- 第3页
- 第4页
- 第5页
- 第6页
- 第7页
- 第8页
- 第9页
- 第10页
- 第11页
- 第12页
- 第13页
- 第14页
- 第15页
- 第16页
- 第17页
- 第18页
- 第19页
- 第20页
- 第21页
- 第22页
- 第23页
- 第24页
- 第25页
- 第26页
- 第27页
- 第28页
- 第29页
- 第30页
- 第31页
- 第32页
- 第33页
- 第34页
- 第35页
- 第36页
- 第37页
- 第38页
- 第39页
- 第40页
- 第41页
- 第42页
- 第43页
- 第44页
- 第45页
- 第46页
- 第47页
- 第48页
- 第49页
- 第50页
- 第51页
- 第52页
- 第53页
- 第54页
- 第55页
- 第56页
- 第57页
- 第58页
- 第59页
- 第60页
- 第61页
- 第62页
- 第63页
- 第64页
- 第65页
- 第66页
- 第67页
- 第68页
- 第69页
- 第70页
- 第71页
- 第72页
- 第73页
- 第74页
- 第75页
- 第76页
- 第77页
- 第78页
- 第79页
- 第80页
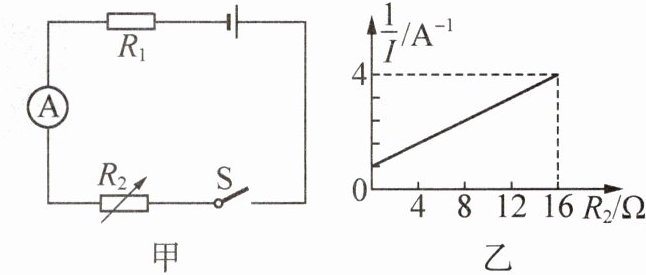
9. (2024·重庆二模)如图甲所示,$R_1$ 为定值电阻,调节电阻箱 $R_2$ 时,电流表的示数 $I$ 随之发生变化. 图乙为电流表示数的倒数与电阻箱的阻值之间的变化关系图像. 则下列判断正确的是 ( )

A. 电源电压为 4 V
B. 定值电阻 $R_1$ 的阻值为 4 Ω
C. 该电路的最大电流为 4 A
D. 该电路的最大功率为 4 W
A. 电源电压为 4 V
B. 定值电阻 $R_1$ 的阻值为 4 Ω
C. 该电路的最大电流为 4 A
D. 该电路的最大功率为 4 W
答案:
B
10. (2024·陕西西安模拟)如图甲所示是某款水位自动测控仪的测量原理图,电源电压 $U$ 恒为 12 V,定值电阻 $R_0 = 10$ Ω,$R_1$ 为一竖直固定的光滑金属棒,总长 30 cm,阻值为 15 Ω,其接入电路的阻值与长度成正比. 弹簧上端固定,滑片 P 固定在弹簧下端且与 $R_1$ 接触良好,滑片及弹簧的阻值、重力均不计. 圆柱体 M 通过无伸缩的轻绳挂在弹簧下端,弹簧的弹力与其形变量的关系如图乙所示. 物体 M 重力为 60 N、高为 50 cm、底面积为 80 $cm^2$.(已知 $\rho_{水}=1.0\times10^3$ $kg/m^3$,$g$ 取 10 N/kg)

(1)电路中 $R_0$ 的作用是________.
(2)当水位低于位置 A 时,电压表的示数恒为 2 V,此时滑动变阻器功率为________W,随着水位的升高,电压表的示数________(选填“变大”或“变小”).
(3)当圆柱体 M 刚好浸没在水中时,电压表的示数为________V.(结果保留一位小数)
(1)电路中 $R_0$ 的作用是________.
(2)当水位低于位置 A 时,电压表的示数恒为 2 V,此时滑动变阻器功率为________W,随着水位的升高,电压表的示数________(选填“变大”或“变小”).
(3)当圆柱体 M 刚好浸没在水中时,电压表的示数为________V.(结果保留一位小数)
答案:
保护电路@@2@@变大@@6.5
11. 新趋势 学科融合 学校常利用过氧乙酸对教室内的空气进行熏蒸消毒. 某学习小组为了测量教室空气中过氧乙酸气体的浓度,设计了如图甲的检测仪. 已知电源电压为 6 V,定值电阻 $R_0$ 标有“2.5 Ω 0.4 A”字样,过氧乙酸气体传感器 $R_1$ 的阻值随过氧乙酸气体浓度 $\rho$ 的变化关系如图乙. 电压表的量程为 0~3 V,电压表不同的示数对应不同的过氧乙酸气体浓度.

(1)按规定,$\rho>0.1$ $g/m^3$ 才能达到消毒要求. 当电压表示数为 0.75 V 时,教室内过氧乙酸气体浓度是否达到消毒要求?
(2)若该检测仪在所能测量的最大浓度值状态下工作,电路消耗的电功率是多少?
(1)按规定,$\rho>0.1$ $g/m^3$ 才能达到消毒要求. 当电压表示数为 0.75 V 时,教室内过氧乙酸气体浓度是否达到消毒要求?
(2)若该检测仪在所能测量的最大浓度值状态下工作,电路消耗的电功率是多少?
答案:
达到消毒要求@@2.4 W
查看更多完整答案,请扫码查看