2025年把关题高中数学选择性必修第二册人教版
注:目前有些书本章节名称可能整理的还不是很完善,但都是按照顺序排列的,请同学们按照顺序仔细查找。练习册 2025年把关题高中数学选择性必修第二册人教版 答案主要是用来给同学们做完题方便对答案用的,请勿直接抄袭。
11. [多选题][$\underset{2024}{安徽省}$太和中学高二联考]在曲线$y = \sin 2x$上
的切线的倾斜角为$\frac{\pi}{3}$点的横坐标可能为(
A.$- \frac{\pi}{12}$
B.$\frac{\pi}{6}$
C.$\frac{\pi}{3}$
D.$\frac{\pi}{12}$
的切线的倾斜角为$\frac{\pi}{3}$点的横坐标可能为(
AD
)A.$- \frac{\pi}{12}$
B.$\frac{\pi}{6}$
C.$\frac{\pi}{3}$
D.$\frac{\pi}{12}$
答案:
11.AD 解析:切线的斜率$k = \tan\frac{\pi}{3} = \sqrt{3}$,设切点为$(x_{0},y_{0})$,
则$y'(x_{0}) = \sqrt{3}$,又$y'(x) = 2\cos 2x$,
所以$2\cos 2x_{0} = \sqrt{3}$,所以$x_{0} = k\pi \pm \frac{\pi}{12},k \in Z$,
当$k = 0$时,$x_{0} = \pm \frac{\pi}{12}$,故AD正确。
则$y'(x_{0}) = \sqrt{3}$,又$y'(x) = 2\cos 2x$,
所以$2\cos 2x_{0} = \sqrt{3}$,所以$x_{0} = k\pi \pm \frac{\pi}{12},k \in Z$,
当$k = 0$时,$x_{0} = \pm \frac{\pi}{12}$,故AD正确。
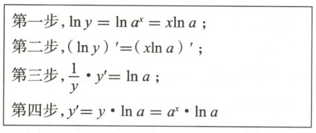
12. [$\underset{2024}{贵州一中}$高二质量检
测]对于$y = a^{x}(a > 0$且$a \neq 1)$这类
函数的求导,可以使用下面的方式进行:

根据框内的信息,函数$y = x^{x}(x > 0)$的导数
$y^{\prime} =$
测]对于$y = a^{x}(a > 0$且$a \neq 1)$这类
函数的求导,可以使用下面的方式进行:
根据框内的信息,函数$y = x^{x}(x > 0)$的导数
$y^{\prime} =$
$x^{x}(\ln x + 1)$
.
答案:
12.$x^{x}(\ln x + 1)$ 解析:因为$y = x^{x}$,故可得$\ln y = x\ln x$,
所以$(\ln y)' = (x\ln x)'$,即$\frac{1}{y}· y' = \ln x + 1$,
所以$y' = y(\ln x + 1) = x^{x}(\ln x + 1)$。
所以$(\ln y)' = (x\ln x)'$,即$\frac{1}{y}· y' = \ln x + 1$,
所以$y' = y(\ln x + 1) = x^{x}(\ln x + 1)$。
13. [教材82页习题11题]若曲线$y = x\ln 2x$在点$\left( \frac{1}{2},0 \right)$处的切线与直线$x + ay - 2 = 0$垂直,则$a =$
教材变式
1
.教材变式
答案:
13.1 解析:由$y = x\ln 2x$,得
$y' = \ln 2x + x·\frac{1}{2x}· 2 = 1 + \ln 2x$,
所以在点$(\frac{1}{2},0)$处的切线的斜率为$k = 1 + \ln(2×\frac{1}{2}) = 1$。
因为曲线$y = x\ln 2x$在点$(\frac{1}{2},0)$处的切线与直线$x + ay - 2 = 0$垂直,$x + ay - 2 = 0$的斜率为$-\frac{1}{a}$,
所以$1×(-\frac{1}{a}) = -1$,
解得$a = 1$。
$y' = \ln 2x + x·\frac{1}{2x}· 2 = 1 + \ln 2x$,
所以在点$(\frac{1}{2},0)$处的切线的斜率为$k = 1 + \ln(2×\frac{1}{2}) = 1$。
因为曲线$y = x\ln 2x$在点$(\frac{1}{2},0)$处的切线与直线$x + ay - 2 = 0$垂直,$x + ay - 2 = 0$的斜率为$-\frac{1}{a}$,
所以$1×(-\frac{1}{a}) = -1$,
解得$a = 1$。
14. 已知函数$f(x)$为偶函数,当$x > 0$时,$f(x) =$ $\ln x + 1 + e^{x - 1}$,则曲线$y = f(x)$在$x = - 1$处的切线方程为
$2x + y = 0$
.
答案:
14.$2x + y = 0$ 解析:设$x < 0$,则$-x > 0$,
所以$f(-x) = \ln(-x) + 1 + e^{-x - 1}$。
因为函数$f(x)$为偶函数,
所以$f(x) = f(-x) = \ln(-x) + 1 + e^{-x - 1}$,
所以$f'(x) = \frac{1}{-x}·(-x)' + e^{-x - 1}·(-x - 1)' = \frac{1}{x} - e^{-x - 1}$,
所以$f(-1) = 1 + e^{1 - 1} = 2,f'(-1) = -1 - e^{1 - 1} = -2$。
所以$y = f(x)$在$x = -1$处的切线方程为$y - 2 = -2(x + 1)$,
即$2x + y = 0$。
所以$f(-x) = \ln(-x) + 1 + e^{-x - 1}$。
因为函数$f(x)$为偶函数,
所以$f(x) = f(-x) = \ln(-x) + 1 + e^{-x - 1}$,
所以$f'(x) = \frac{1}{-x}·(-x)' + e^{-x - 1}·(-x - 1)' = \frac{1}{x} - e^{-x - 1}$,
所以$f(-1) = 1 + e^{1 - 1} = 2,f'(-1) = -1 - e^{1 - 1} = -2$。
所以$y = f(x)$在$x = -1$处的切线方程为$y - 2 = -2(x + 1)$,
即$2x + y = 0$。
15. [$\underset{2024}{江苏}$徐州高二检
测]随着科学技术的发展,放射性同
位素技术已经广泛应用于医学、航天等众多
领域,并取得了显著经济效益.假设某放射性
同位素的衰变过程中,其含量$P($单位:贝克$)$
与时间$t($单位:天$)$满足函数关系$P(t) =$ $P_{0}2^{- \frac{t}{30}}$,其中$P_{0}$为$t = 0$时该放射性同位素的
含量.已知$t = 15$时,该放射性同位素的瞬时
变化率为$- \frac{3\sqrt{2}\ln 2}{10}$,则该放射性同位素含
量为4.5贝克时,衰变所需所需时间为
测]随着科学技术的发展,放射性同
位素技术已经广泛应用于医学、航天等众多
领域,并取得了显著经济效益.假设某放射性
同位素的衰变过程中,其含量$P($单位:贝克$)$
与时间$t($单位:天$)$满足函数关系$P(t) =$ $P_{0}2^{- \frac{t}{30}}$,其中$P_{0}$为$t = 0$时该放射性同位素的
含量.已知$t = 15$时,该放射性同位素的瞬时
变化率为$- \frac{3\sqrt{2}\ln 2}{10}$,则该放射性同位素含
量为4.5贝克时,衰变所需所需时间为
60
天.
答案:
15.60 解析:由$P(t) = P_{0}2^{-\frac{t}{30}}$,得
$P'(t) = -\frac{1}{30}· P_{0}· 2^{-\frac{t}{30}}·\ln 2$。
因为$t = 15$时,该放射性同位素的瞬时变化率为$-\frac{3\sqrt{2}\ln 2}{10}$,
所以$P'(15) = -\frac{\sqrt{2}\ln 2}{60}P_{0} = -\frac{3\sqrt{2}\ln 2}{10}$,
解得$P_{0} = 18$,则$P(t) = 18× 2^{-\frac{t}{30}}$。
当该放射性同位素含量为$4.5$贝克时,$P(t) = 4.5$,
所以$18× 2^{-\frac{t}{30}} = 4.5$,即$2^{-\frac{t}{30}} = \frac{1}{4}$,
所以$-\frac{t}{30} = -2$,解得$t = 60$。
$P'(t) = -\frac{1}{30}· P_{0}· 2^{-\frac{t}{30}}·\ln 2$。
因为$t = 15$时,该放射性同位素的瞬时变化率为$-\frac{3\sqrt{2}\ln 2}{10}$,
所以$P'(15) = -\frac{\sqrt{2}\ln 2}{60}P_{0} = -\frac{3\sqrt{2}\ln 2}{10}$,
解得$P_{0} = 18$,则$P(t) = 18× 2^{-\frac{t}{30}}$。
当该放射性同位素含量为$4.5$贝克时,$P(t) = 4.5$,
所以$18× 2^{-\frac{t}{30}} = 4.5$,即$2^{-\frac{t}{30}} = \frac{1}{4}$,
所以$-\frac{t}{30} = -2$,解得$t = 60$。
16. 曲线$f(x) = e^{2x} · \cos 3x$在点$(0,1)$处的切线
与直线$l$的距离为$\sqrt{5}$,求直线$l$的方程.
与直线$l$的距离为$\sqrt{5}$,求直线$l$的方程.
答案:
16.解:$\because f'(x) = (e^{2x})'·\cos 3x + e^{2x}·(\cos 3x)' = 2e^{2x}·\cos 3x - 3e^{2x}·\sin 3x$,
$\therefore f'(0) = 2$,$\therefore$曲线$f(x) = e^{2x}·\cos 3x$在点$(0,1)$处的切线方程为$y - 1 = 2(x - 0)$,即$y = 2x + 1$。
由题意知直线$l$与切线$y = 2x + 1$平行。
故设满足题意的直线$l$的方程为$y = 2x + b(b \neq 1)$,
根据题意,得$\sqrt{5} = \frac{|b - 1|}{\sqrt{5}}$,
解得$b = 6$或$b = -4$,
$\therefore$满足题意的直线$l$的方程为$y = 2x + 6$或$y = 2x - 4$。
$\therefore f'(0) = 2$,$\therefore$曲线$f(x) = e^{2x}·\cos 3x$在点$(0,1)$处的切线方程为$y - 1 = 2(x - 0)$,即$y = 2x + 1$。
由题意知直线$l$与切线$y = 2x + 1$平行。
故设满足题意的直线$l$的方程为$y = 2x + b(b \neq 1)$,
根据题意,得$\sqrt{5} = \frac{|b - 1|}{\sqrt{5}}$,
解得$b = 6$或$b = -4$,
$\therefore$满足题意的直线$l$的方程为$y = 2x + 6$或$y = 2x - 4$。
17. 若函数$f(x) = \frac{1}{2}\sin 2x + \sin x$,则$f^{\prime}(x)$是(
A.仅有最小值的奇函数
B.仅有最大值的偶函数
C.既有最大值又有最小值的偶函数
D.非奇非偶函数
C
)A.仅有最小值的奇函数
B.仅有最大值的偶函数
C.既有最大值又有最小值的偶函数
D.非奇非偶函数
答案:
17.C 解析:$\because$函数$f(x) = \frac{1}{2}\sin 2x + \sin x$,
$\therefore f'(x) = \cos 2x + \cos x = 2\cos^{2}x + \cos x - 1$
$ = 2(\cos x + \frac{1}{4})^{2} - \frac{9}{8}$。
二倍角余弦公式
当$\cos x = -\frac{1}{4}$时,$f'(x)$取得最小值$-\frac{9}{8}$;
当$\cos x = 1$时,$f'(x)$取得最大值$2$。
$\because f'(-x) = f'(x)$,
$\therefore f'(x)$是既有最大值又有最小值的偶函数。
易错警示
1.忽视复合函数求导:复合函数对自变量的导数等于已知函数对中间变量的导数乘中间变量对自变量的导数;2.求函数最值时易忽视$\cos x$的取值范围。
$\therefore f'(x) = \cos 2x + \cos x = 2\cos^{2}x + \cos x - 1$
$ = 2(\cos x + \frac{1}{4})^{2} - \frac{9}{8}$。
二倍角余弦公式
当$\cos x = -\frac{1}{4}$时,$f'(x)$取得最小值$-\frac{9}{8}$;
当$\cos x = 1$时,$f'(x)$取得最大值$2$。
$\because f'(-x) = f'(x)$,
$\therefore f'(x)$是既有最大值又有最小值的偶函数。
易错警示
1.忽视复合函数求导:复合函数对自变量的导数等于已知函数对中间变量的导数乘中间变量对自变量的导数;2.求函数最值时易忽视$\cos x$的取值范围。
18. [$\underset{2024}{北师大附中}$高二检
测]求下列函数的导数:
(1)$f(x) = \ln(3x - 1)$;
(2)$y = (x^{2} - x)e^{1 - x}$.
测]求下列函数的导数:
(1)$f(x) = \ln(3x - 1)$;
(2)$y = (x^{2} - x)e^{1 - x}$.
答案:
18.解:
(1)$f'(x) = \frac{1}{3x - 1}·(3x - 1)' = \frac{3}{3x - 1}$;
(2)$y' = (2x - 1)e^{1 - x} - (x^{2} - x)e^{1 - x} = (-x^{2} + 3x - 1)e^{1 - x}$。
易错警示
按照求导法则进行运算,复合函数必须逐层求导,如
(2)中不要忽视对$1 - x$求导。
(1)$f'(x) = \frac{1}{3x - 1}·(3x - 1)' = \frac{3}{3x - 1}$;
(2)$y' = (2x - 1)e^{1 - x} - (x^{2} - x)e^{1 - x} = (-x^{2} + 3x - 1)e^{1 - x}$。
易错警示
按照求导法则进行运算,复合函数必须逐层求导,如
(2)中不要忽视对$1 - x$求导。
查看更多完整答案,请扫码查看